EasyManua.ls Logo

Philips BDP3000 - EasyLink Setup

Philips BDP3000
43 pages
Print Icon
To Next Page IconTo Next Page
To Next Page IconTo Next Page
To Previous Page IconTo Previous Page
To Previous Page IconTo Previous Page
Loading...
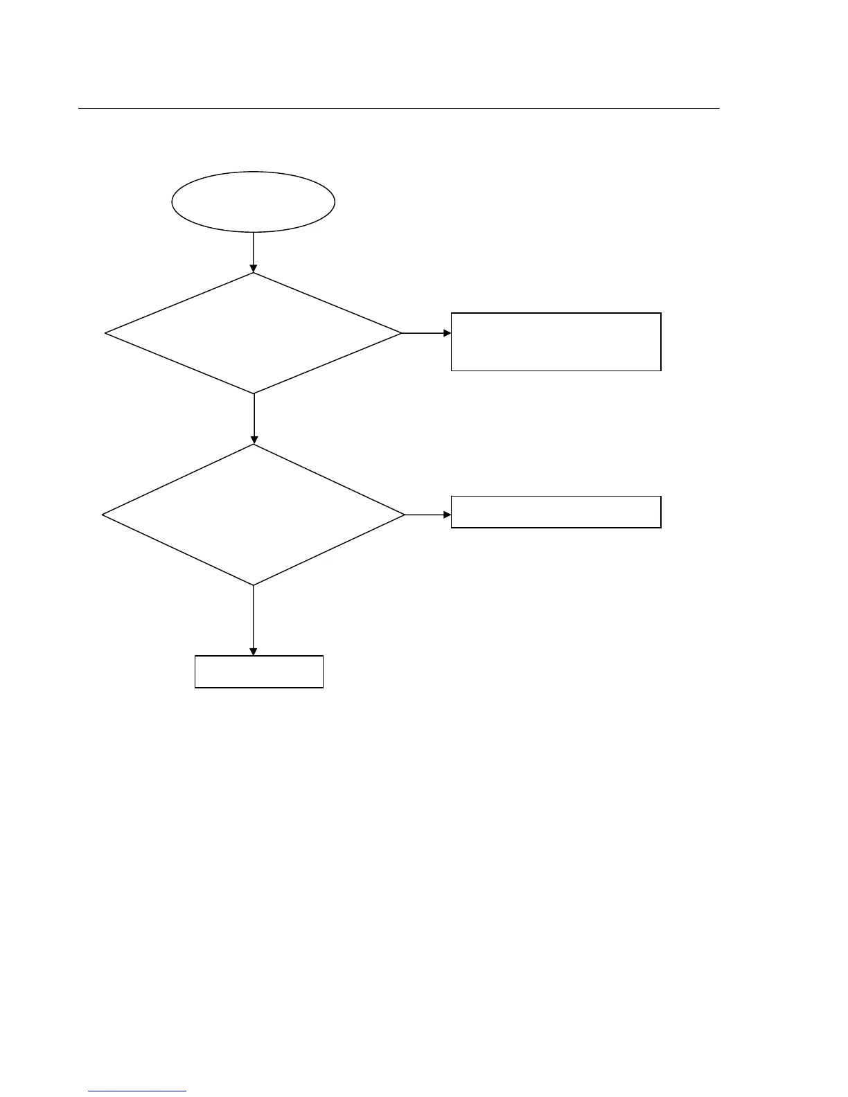
Remote control does not work
Go
Yes
No
yes
Remote control
does not work
NO
Replace the battery for remote
controller
Check whether the remote
controller’s battery is
exhausted or not.
Check the U1 power
supply is OK,U1.3 is
about 5V
Check the VCC net no front board
Replace U1.
Yes
Trouble shooting chart
5-3

Other manuals for Philips BDP3000

Related product manuals