EasyManua.ls Logo

Philips BDP3000 - Advanced Setup

Philips BDP3000
43 pages
Print Icon
To Next Page IconTo Next Page
To Next Page IconTo Next Page
To Previous Page IconTo Previous Page
To Previous Page IconTo Previous Page
Loading...
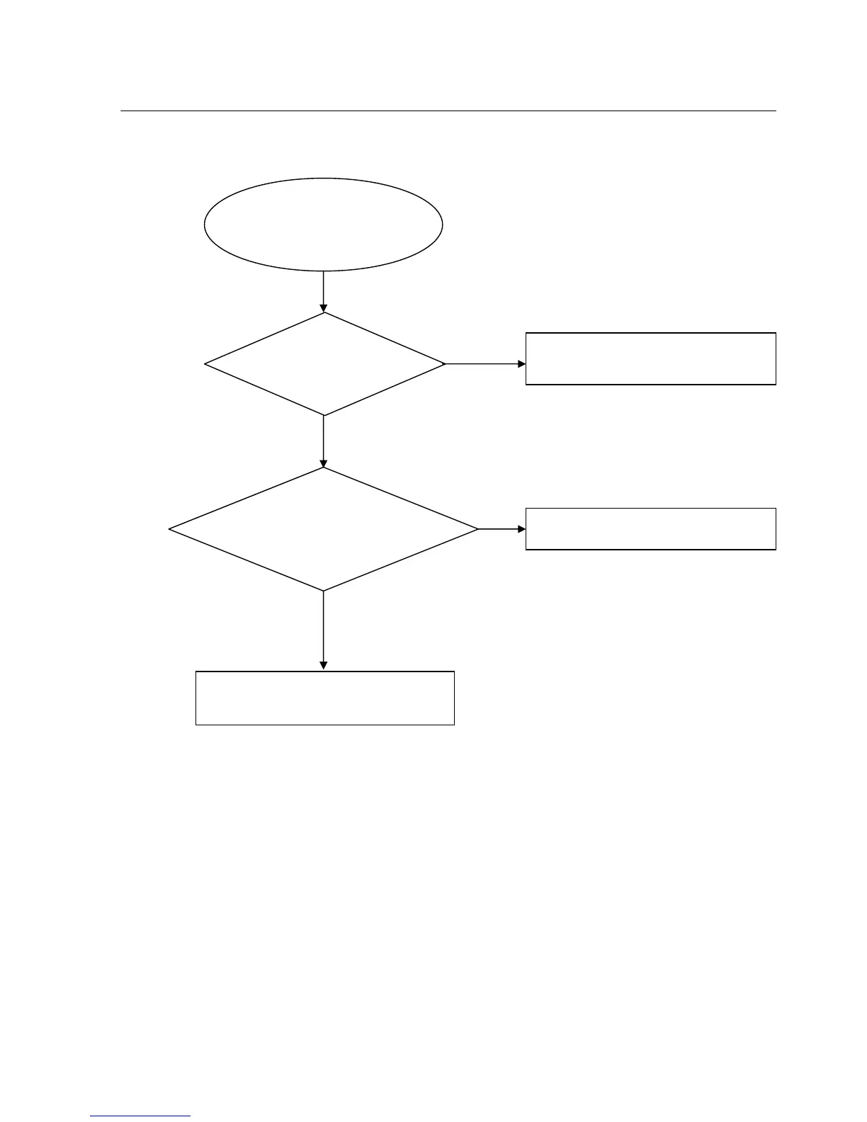
Can’t read disc or can’t open the disk door
Yes
Check the connection of the 4PIN cable
from CN6 on the Power Board.
Can’t read disc or can’t
open the disk door
Check 40pin cable from
main board connection to
the loader is normal
Check the peripheral components near the
J3 on the main board.
NO
GO
Check whether the
DVD loader running is
normal
Fix the connection the 40pin cable
NO
Yes
Trouble shooting chart
5-4

Other manuals for Philips BDP3000

Related product manuals