EasyManua.ls Logo

Philips BDP3000 - Additional Information; Update software; Update software via network; Update software via USB

Philips BDP3000
43 pages
Print Icon
To Next Page IconTo Next Page
To Next Page IconTo Next Page
To Previous Page IconTo Previous Page
To Previous Page IconTo Previous Page
Loading...
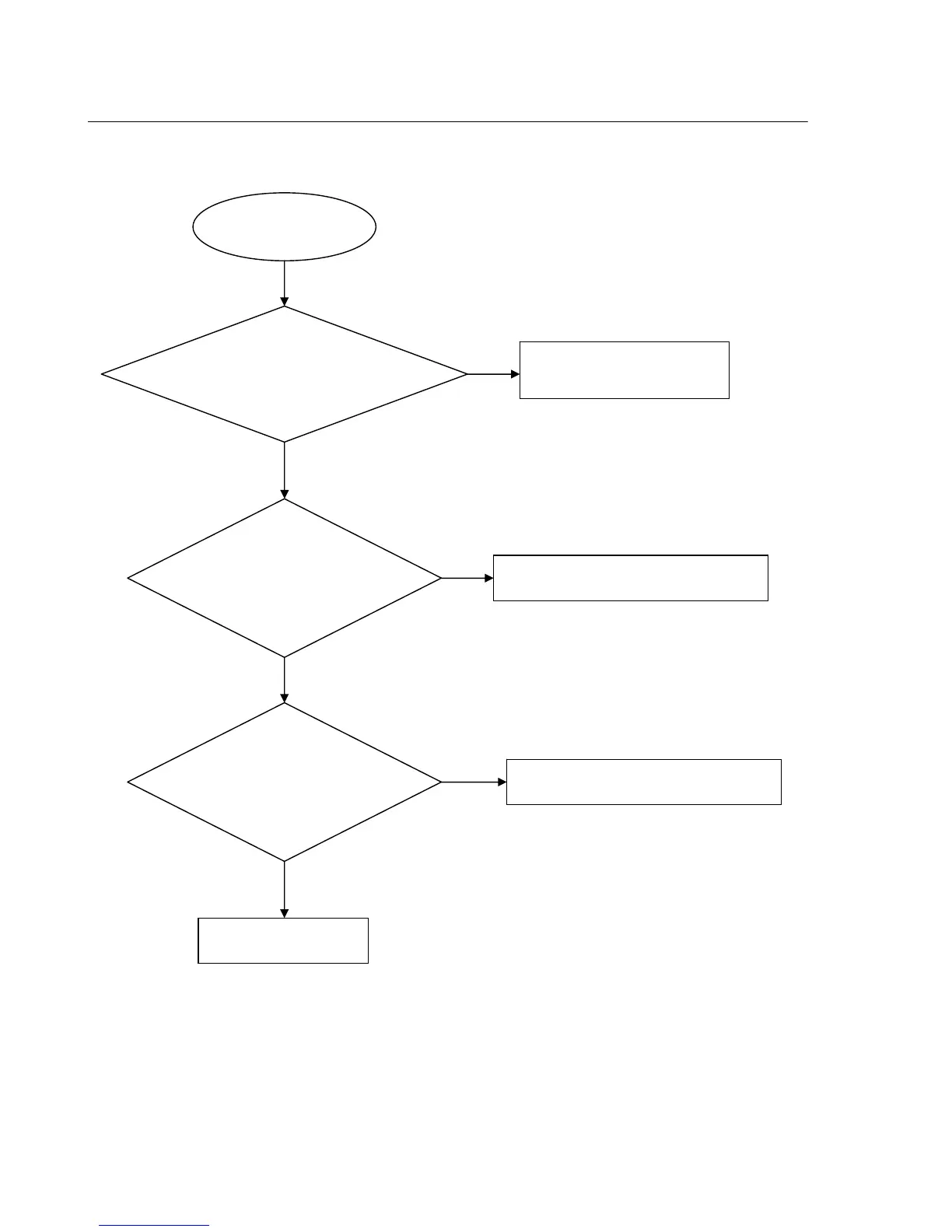
No VFD display
Check whether the
voltage between VFD
F1&VFD F2 is AC3V
Go
No
No
No VFD display
Yes
Fix the connection power board
CN6& front board JP4
Check whether the voltage
+5Vstb on the front board is
normal work or not.
Check DC5V to AC 3V switch circuit
Replace U3 or VFD.
Yes
Check whether the
voltage -24V is normal
No
Check the FB7 on the front board
Trouble shooting chart
5-5

Other manuals for Philips BDP3000

Related product manuals