EasyManua.ls Logo

Philips BDP3000 - Specifications

Philips BDP3000
43 pages
Print Icon
To Next Page IconTo Next Page
To Next Page IconTo Next Page
To Previous Page IconTo Previous Page
To Previous Page IconTo Previous Page
Loading...
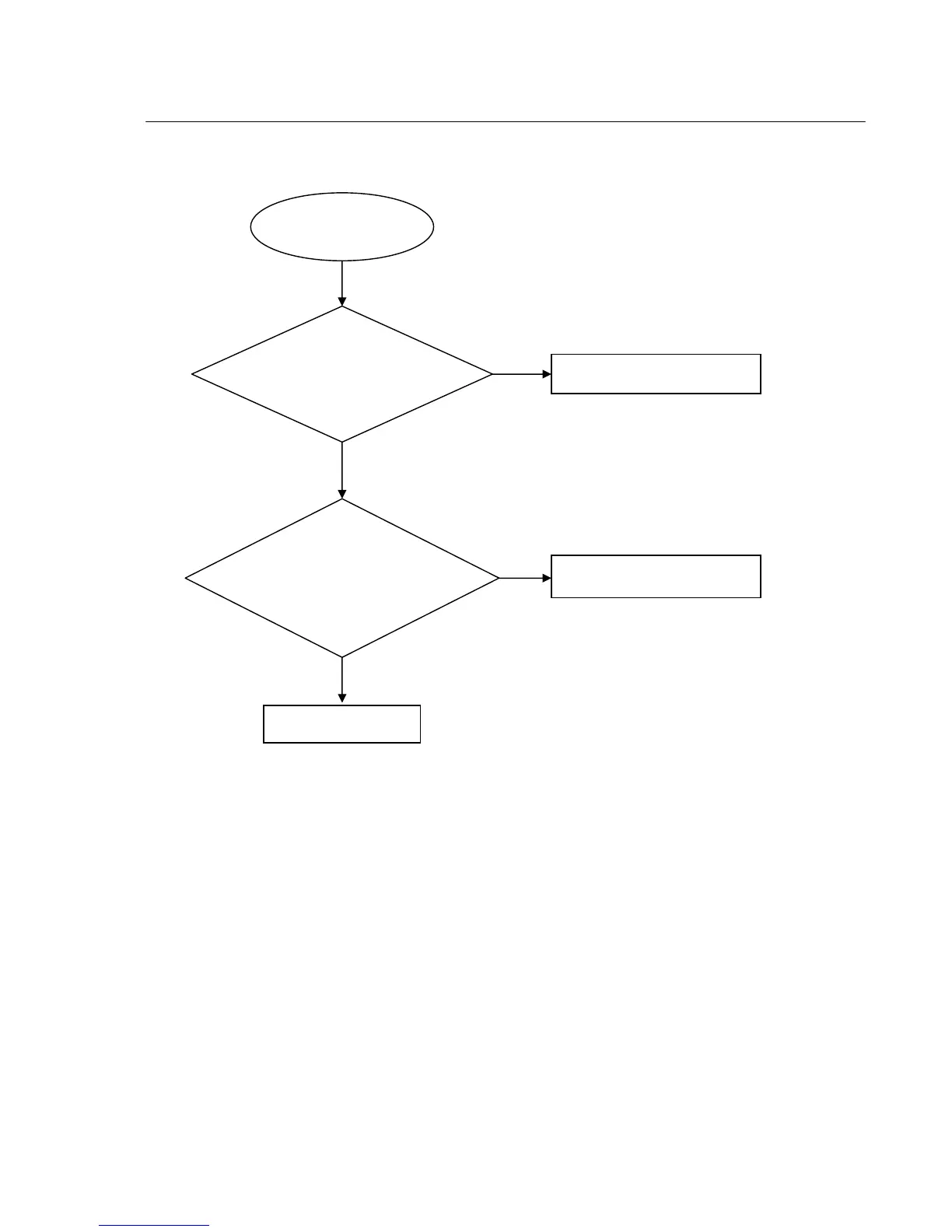
Fan don’t work
Check the cable
connection fan to Power
board CN1
Go
No
No
Fan don’t work
Yes
Check R8 on Power board
Check on Power board
whether CN.1 is +11V
Replace the cable
Replace Fan
Yes
Trouble shooting chart
5-6

Other manuals for Philips BDP3000

Related product manuals