EasyManua.ls Logo

Philips HTD3510/12 - No Display on LED

Philips HTD3510/12
52 pages
Print Icon
To Next Page IconTo Next Page
To Next Page IconTo Next Page
To Previous Page IconTo Previous Page
To Previous Page IconTo Previous Page
Loading...
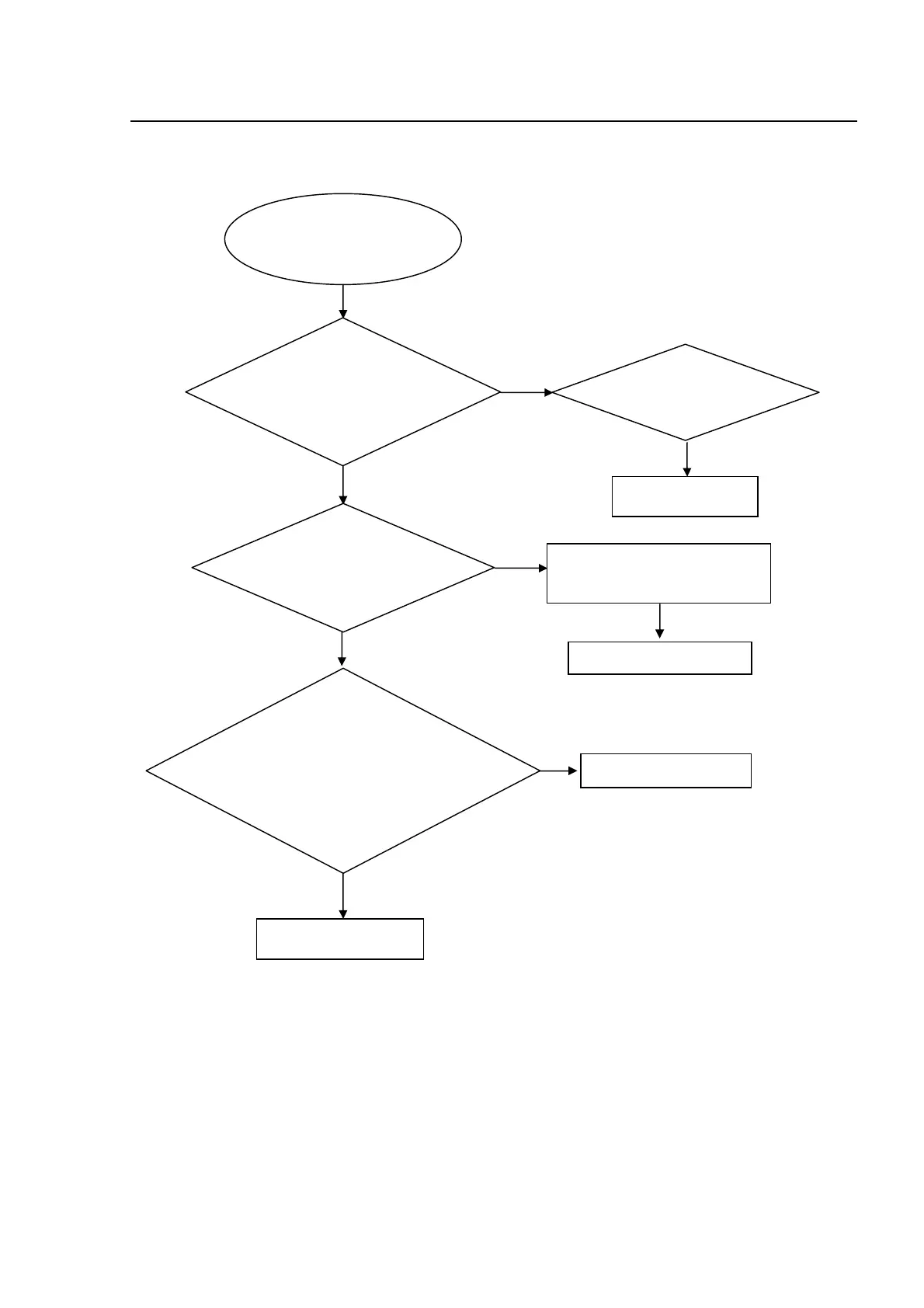
5-3 Trouble shooting Chart
No display on LED, and buttons do not work
No
No
Yes
Yes
No display on LED, and
buttons do not work
Check XP3 pin14
It should be 5V
Check the main board SPI signal
(U20 :pin17,18,19)
Correct connection
Replace U301 or LED
Yes
NO
No
Check the front board
signals
VSCLK,VSDA,VSTB
(XP3 : pin9,10,11)
1.Check the LED board whether
bad solder exists on U301 and pins
of LED
2.Check whether the circuit
connected to S608, S609, S610,
S611 are broken.
Check Q751 in
main board
Replace Q751
Yes
NO
Replace Main Board

Related product manuals