EasyManua.ls Logo

Philips HTD3510/12 - No Output by Aux in

Philips HTD3510/12
52 pages
Print Icon
To Next Page IconTo Next Page
To Next Page IconTo Next Page
To Previous Page IconTo Previous Page
To Previous Page IconTo Previous Page
Loading...
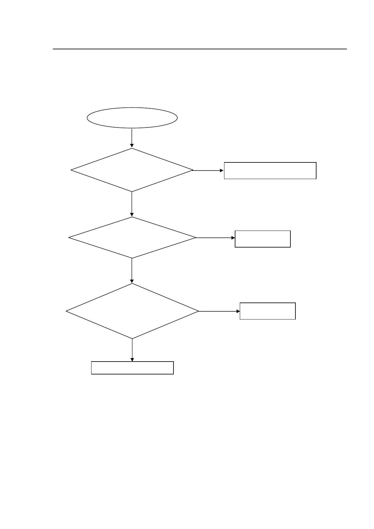
5-9 Trouble shooting Chart
No output by Aux IN
Go
No
No output by Aux in
Yes
Replace U5
Check U211 pin1 , 2
Replace Main board
Check U361 pin1 ,12
No
Fix Aux In line to main board
Yes
Check U211 I2S output
pin9 , 10,11,12
Yes
No
Replace U211

Related product manuals