EasyManua.ls Logo

Philips HTD3510/12 - No Output by Optical in

Philips HTD3510/12
52 pages
Print Icon
To Next Page IconTo Next Page
To Next Page IconTo Next Page
To Previous Page IconTo Previous Page
To Previous Page IconTo Previous Page
Loading...
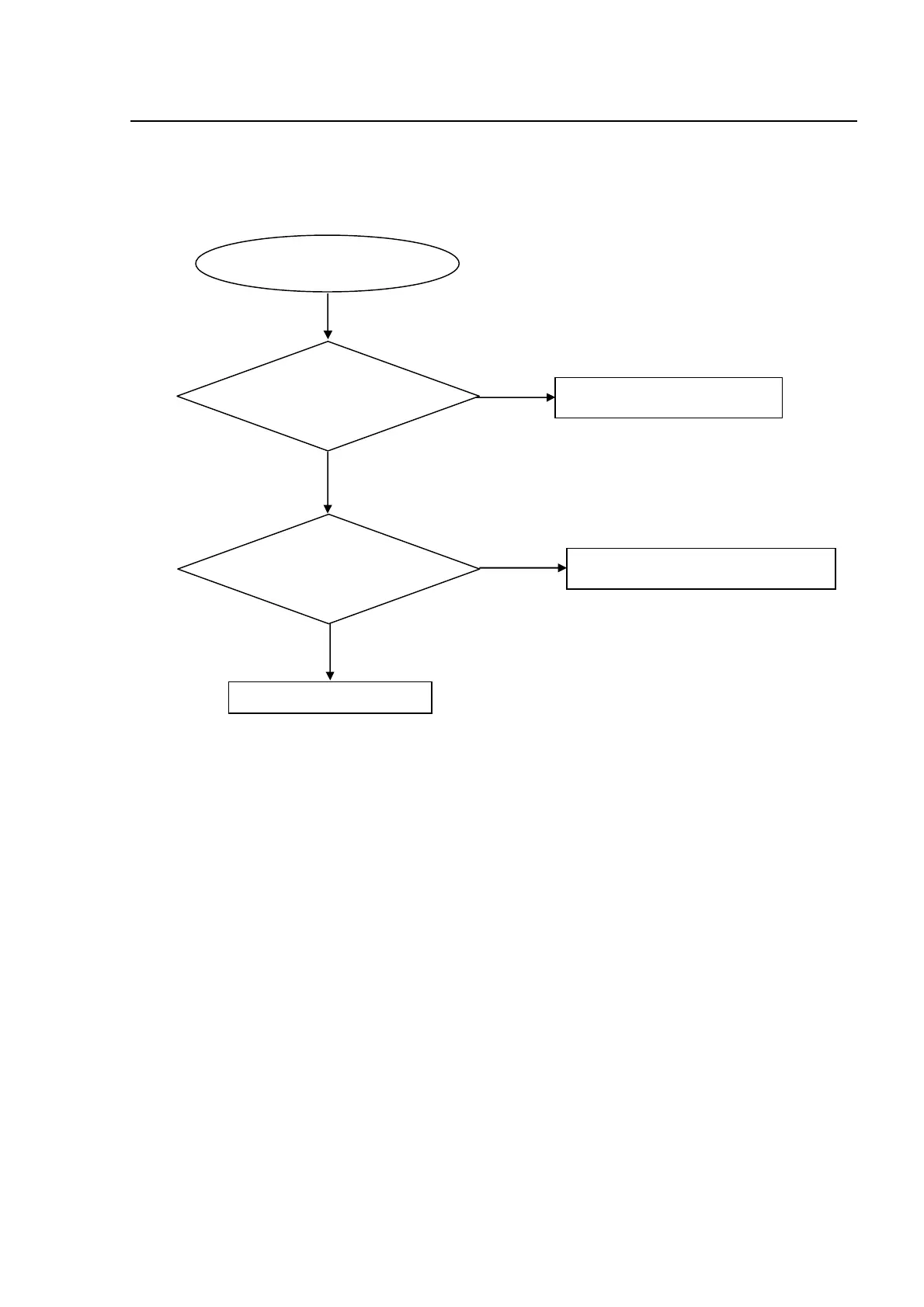
5-8 Trouble shooting Chart
No output by Optical in
Go
No
No output by Optical in
Yes
Check system power supply
Check U451 power
supply pin5
Replace U451
Check the Optical
connector P451
No
Fix P451 in mainboard
Yes

Related product manuals