EasyManua.ls Logo

Philips HTD3510/12 - No Video Display

Philips HTD3510/12
52 pages
Print Icon
To Next Page IconTo Next Page
To Next Page IconTo Next Page
To Previous Page IconTo Previous Page
To Previous Page IconTo Previous Page
Loading...
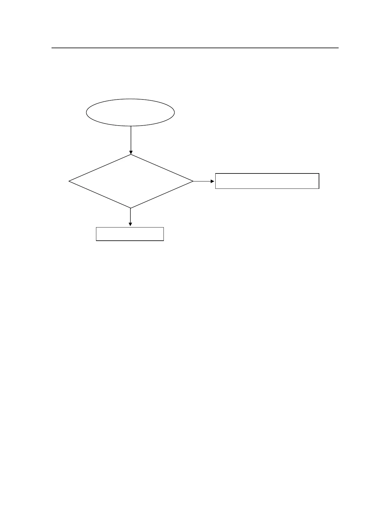
5-7 Trouble shooting Chart
No video display
Check if R899 is on
For Indian ,please check
CE881
Go
No
No Video display
Add R188,For Indian ,add CE881
Replace the main board
Yes

Related product manuals