EasyManua.ls Logo

Philips HTD3510/12 - Remote Control Issues

Philips HTD3510/12
52 pages
Print Icon
To Next Page IconTo Next Page
To Next Page IconTo Next Page
To Previous Page IconTo Previous Page
To Previous Page IconTo Previous Page
Loading...
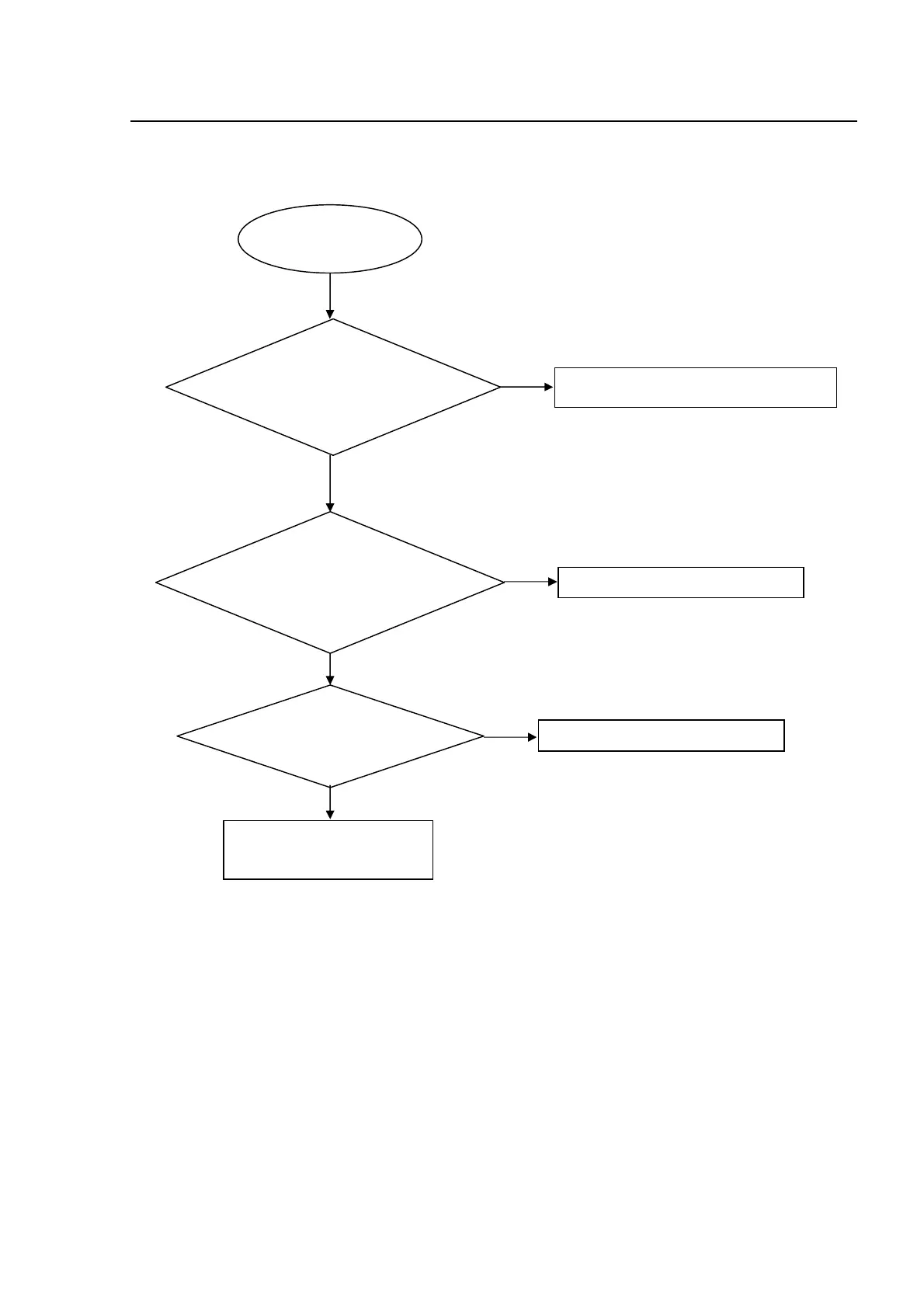
5-5 Trouble shooting Chart
Remote control does not work
Go
Yes
NO
Yes
Remote control
does not work
NO
Replace the battery for remote controller
Check whether the remote
controllers battery is
exhausted or not.
In the front control
board,check IR601 pin1
Waveform
Re
p
lace IR601
YES
In the main board U20
pin 16 waveform
NO
Check the pcb layout
Replace main board
YES

Related product manuals