EasyManua.ls Logo

Philips LPC2119 - Boot Process Flowchart; Figure 48: Boot Process Flowchart (Bootloader Revisions before 1.61)

Philips LPC2119
306 pages
Print Icon
To Next Page IconTo Next Page
To Next Page IconTo Next Page
To Previous Page IconTo Previous Page
To Previous Page IconTo Previous Page
Loading...
Flash Memory System and Programming 266 May 03, 2004
Philips Semiconductors Preliminary User Manual
LPC2119/2129/2194/2292/2294ARM-based Microcontroller
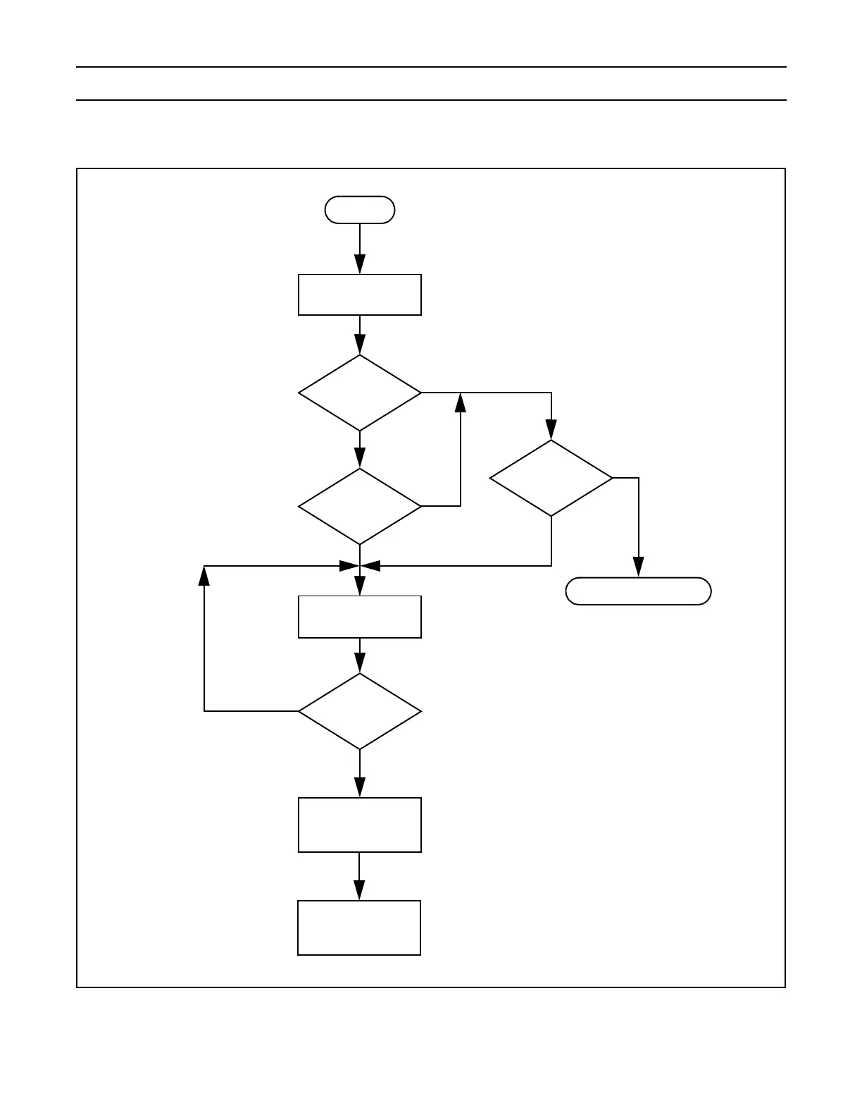
BOOT PROCESS FLOWCHART
Figure 48: Boot Process flowchart (Bootloader revisions before 1.61)
Reset
WatchDog
Flag Set?
User Code
Valid?
Auto-Baud
Successful?
Initialize
Receive
crystal
frequency
Run Auto-Baud
Yes
No
No
Yes
Execute User code
Enter ISP
Mode?
(P0.14 LOW?)
Yes
No
Yes
No
Run ISP
Command
Handler

Table of Contents

Related product manuals