EasyManua.ls Logo

Philips MCP9350i - Hardware Tests

Philips MCP9350i
69 pages
Print Icon
To Next Page IconTo Next Page
To Next Page IconTo Next Page
To Previous Page IconTo Previous Page
To Previous Page IconTo Previous Page
Loading...
EN 22 11. MCP9350i
Hardware Tests
11. Hardware Tests
11.1. Introduction
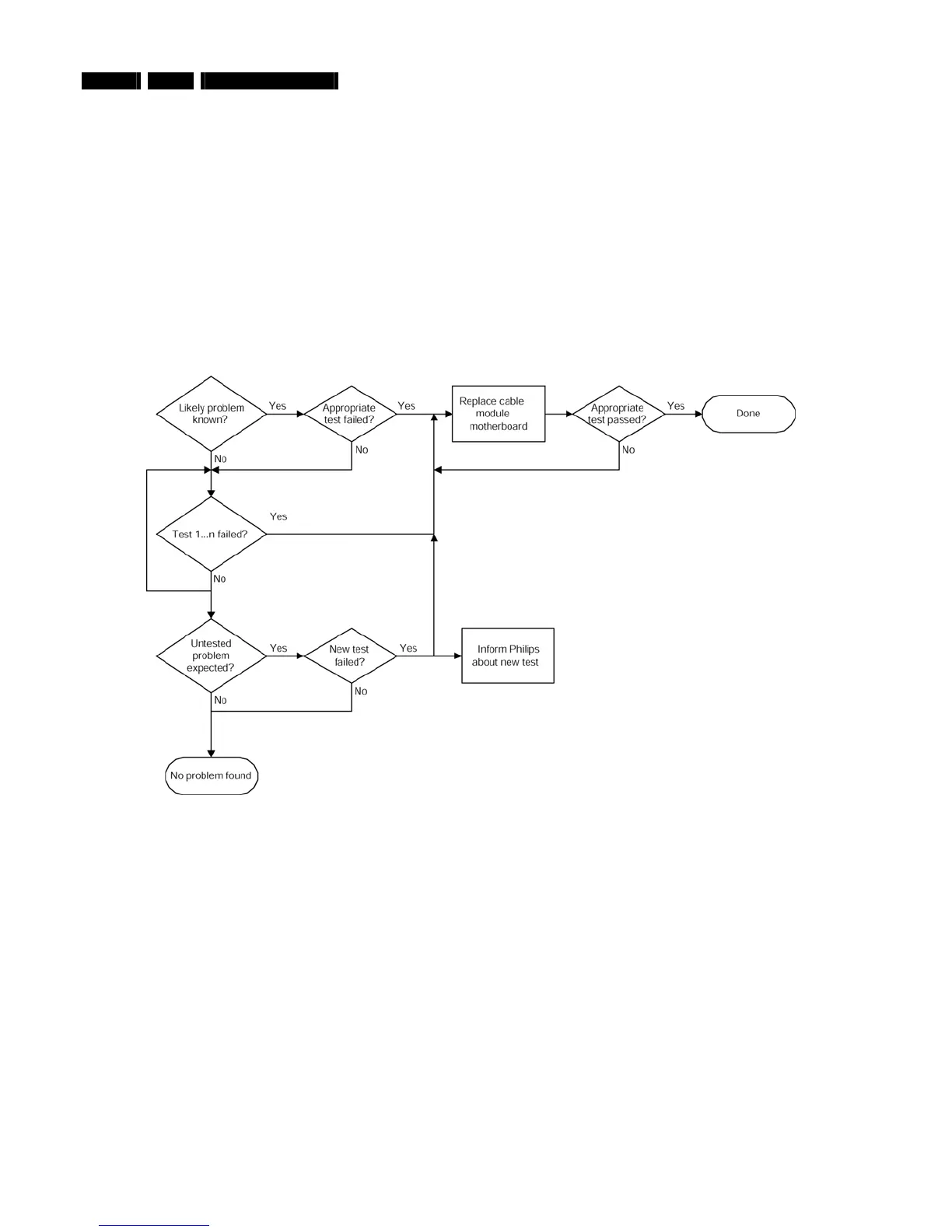
The purpose of the hardware tests is to guarantee the correct functioning of all hardware modules. There are three cases:
1. The cause of the hardware problem is known. Run the appropriate test to confirm that the cause of the problem is correct. Swap
the failing module with one from the ‘repair kit’. Run the test again. For swapping: swap the cheapest component first (e.g. cables,
riser boards), then the modules and finally the motherboard.
2. The cause of the problem is not known. Start with the first test (see below) and continue until one of the tests fails. Then swap the
failing module, etc.
3. None of the tests identifies a failing module. If the technician suspects that the problem is not covered by the tests, he can create
his own test. Otherwise, the product is marked as ‘NFF’. When the new test finds a problem, the technician has to inform Philips
about this so it can be used to improve the test process.

Other manuals for Philips MCP9350i

Related product manuals