EasyManua.ls Logo

Physio Control Lifepak 1000 - Defibrillator Specifications

Physio Control Lifepak 1000
104 pages
Print Icon
To Next Page IconTo Next Page
To Next Page IconTo Next Page
To Previous Page IconTo Previous Page
To Previous Page IconTo Previous Page
Loading...
Specifications
LIFEPAK 1000 Defibrillator Operating Instructions A-1
©2018 Physio-Control, Inc.
SPECIFICATIONS
All specifications are at 20°C (68°F) unless otherwise stated.
Defibrillator
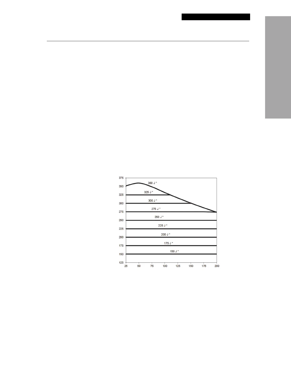
Waveform Biphasic Truncated Exponential with voltage and duration
compensation for patient impedance.
With Adult Pads:
Patient Impedance Range: 10 – 300 ohms
The following specifications apply from 25 to 200 ohms.
Energy Accuracy:
10% of the energy setting into 50 ohms
15% of the rated energy output into 25 – 200 ohms
Rated energy output is the nominal delivered energy based on the
energy setting and patient impedance, as defined in the following chart.
* Energy setting selected
Rated Energy Output
Energy (J)
Patient Impedance ()

Table of Contents

Other manuals for Physio Control Lifepak 1000

Related product manuals