EasyManua.ls Logo

Physionics FTNST001A - Blank Page

Physionics FTNST001A
46 pages
Print Icon
To Next Page IconTo Next Page
To Next Page IconTo Next Page
To Previous Page IconTo Previous Page
To Previous Page IconTo Previous Page
Loading...
DE FR EN IT
41
FR
2. La phase d‘exercice
C‘est la phase durant laquelle votre énergie est au maximum. Grâce à une utilisation réguli-
ère, vos muscles des jambes vont devenir plus souples. Faites les exercices à vôtre rythme et
assurez vous de garder votre rythme. La rapidité d‘exercice doit suf r à ce que vos pulsations
du cœur soient conformes au tableau ci-dessous.
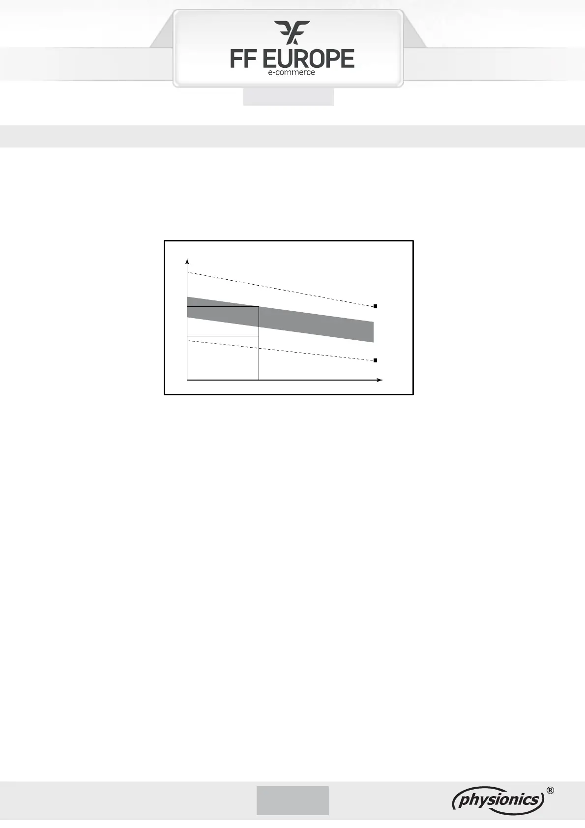
Heart Rate
Maximum
85%
70%
Cool down
Age
200
180
160
140
120
100
80
20 25 30 35 40 45 50 55 60 65 70 75
EXERCICES
La fréquence cardiaque doit être gardé minimum 12 minutes, la plupart des personnes com-
mence par 15-20 minutes en moyenne.
3. La phase de refroidissement
Cette phase permet au système cardio-vasculaire et aux muscles de se reposer. Recommencez
les exercices d‘échauffement et réduisez continuellement pendant 5 minutes votre rythme.
Les exercices de stretching doivent également être recommencés et pensez toujours à ne pas
forcer ou vous déchirer les muscles.
Avec le temps, vous pourrez vous exercer plus longuement et plus intensément a n d‘acquérir
une meilleure endurance. Il sera conseillé de s‘entraîner au minimum 3 fois par semaine et de
répartir les entraînements sur la semaine.
Galbe des muscles
Pour galber vos muscles grâce au banc de musculation, vous devrez mettre une résistance
assez haute. Cette résistance va peser sur les muscles de vos jambes et vous ne pourrez peut-
être pas vous entraîner longtemps. Si vous souhaitez encore améliorer votre capacité phy-
sique, vous devrez changer d‘exercices.
Les phases d‘échauffement et de refroidissement sont réussies mais vers la n de la phase
d‘exercices nous vous conseillons d‘augmenter la résistance a n de faire encore plus travail-
ler vos jambes. A ce sujet, vous devez réduire la vitesse a n de maintenir votre fréquence
cardiaque.

Related product manuals