EasyManua.ls Logo

Physionics FTNST001A - Blank Page

Physionics FTNST001A
46 pages
Print Icon
To Next Page IconTo Next Page
To Next Page IconTo Next Page
To Previous Page IconTo Previous Page
To Previous Page IconTo Previous Page
Loading...
DE FR EN IT
45
IT
2.La fase di esercizio
Questo è il punto in cui si mette lo sforzo. Dopo l'uso regolare, i muscoli delle gambe
diventeranno più flessibili. Lavorare al proprio ritmo e assicurarsi di mantenere sempre un
ritmo costante. La velocità di lavoro dovrebbe essere sufficiente per aumentare il battito del
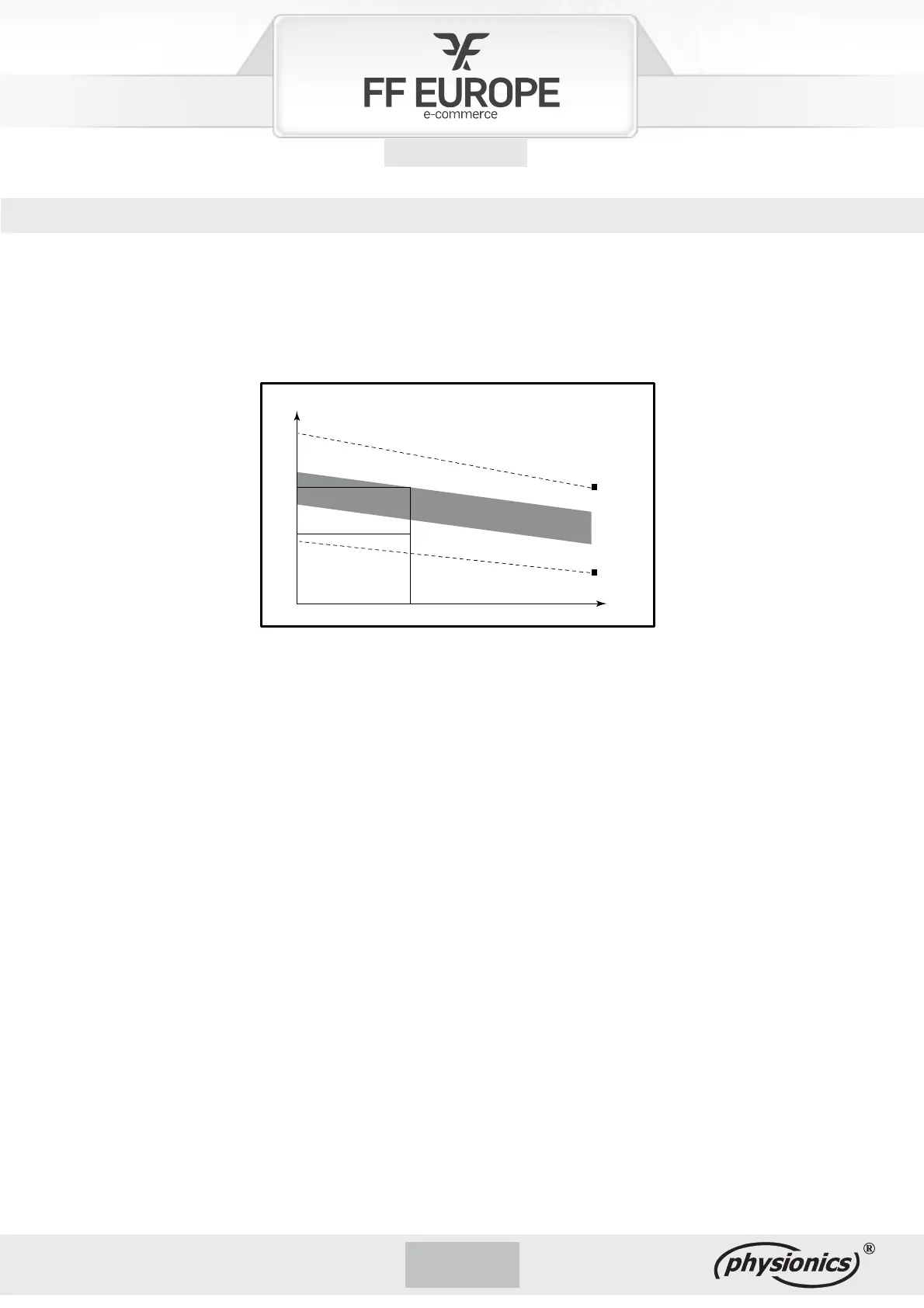
cuore nella zona target mostrata sul grafico sottostante.
Heart Rate
Maximum
85%
70%
Cool down
Age
200
180
160
140
120
100
80
20 25 30 35 40 45 50 55 60 65 70 75
ISTRUZIONI PER L'ESERCIZIO
Questo stadio dovrebbe durare per un minimo di 12 minuti, anche se la maggior parte delle
persone inizia a circa 15-20 minuti.
3. Il recupero dopo l’allenamento
Questa fase è quella di far rilassare il sistema cardio-vascolare e i muscoli. Questa è una
ripetizione dell'esercizio di riscaldamento ad es. ridurre il tempo, continuare per circa 5
minuti. Gli esercizi di stretching dovrebbero adesso essere ripetuti, ricordando di nuovo di non
forzare o muovere i muscoli nel tratto.
Man mano che diventate più in forma, potreste allenarvi più a lungo e più duramente. È
consigliabile allenarsi almeno tre volte alla settimana e, se possibile, distendere gli
allenamenti in modo uniforme per tutta la settimana.
TONIFICAZIONE MUSCOLARE
Per tonificare i muscoli mentre usate questa panca palestra dovrete avere una resistenza
abbastanza alta.
Ciò metterà a dura prova i muscoli delle gambe e potrebbe significare che non potete
allenarvi tutto il tempo che desiderate. Se state cercando di migliorare la forma fisica, dovete
modificare il programma di allenamento.
Dovreste allenarvi normalmente durante le fasi di riscaldamento e raffreddamento, ma verso
la fine della fase di esercizio dovreste aumentare la resistenza per far lavorare le gambe più
duramente. Alla fine ridurre la velocità per mantenere la frequenza cardiaca nella zona
target.

Related product manuals