EasyManua.ls Logo

Polycom HDX 9000 Series - H.264 High Profile; High Profile on Polycom HDX 6000 HD; Polycom HDX 9006

Polycom HDX 9000 Series
346 pages
Print Icon
To Next Page IconTo Next Page
To Next Page IconTo Next Page
To Previous Page IconTo Previous Page
To Previous Page IconTo Previous Page
Loading...
Call Speeds and Resolutions
Polycom, Inc. C–7
H.264 High Profile
H.264 High Profile video encoding and decoding provides improved
resolution in point-to-point H.323 or SIP calls between any of the following
systems:
Polycom HDX 9006
Polycom HDX 8000 HD with Hardware Version B
Polycom HDX 7000 HD with Hardware Version C or D
Polycom HDX 6000 HD
Polycom HDX 4500
Polycom HDX 4000 HD with Hardware Version C
The following sections illustrate the available resolutions for the Polycom
HDX 9006, Polycom HDX 8000 HD, Polycom HDX 7000 HD, Polycom HDX
6000 HD, Polycom HDX 4500, and Polycom HDX 4000 HD and systems.
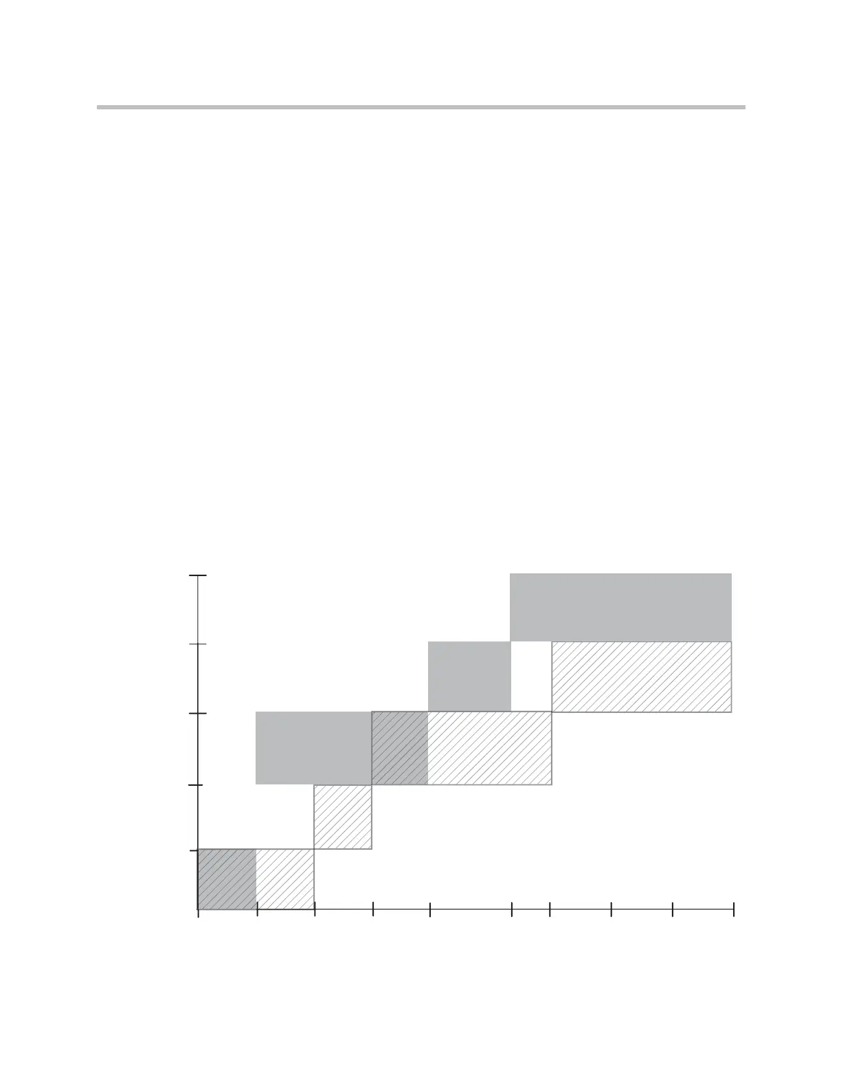
High Profile on Polycom HDX 6000 HD
The following illustration shows the resolutions based on call speed for High
Profile 1080p People video on Polycom HDX 6000 HD systems with the 1080p
Resolution option key installed.
4SIF
704x480
2SIF
352x480
SIF
352x240
HD 720p
1280x720
64
128
256 384
512 3M
4M
1344
2M
HD 1080p
1920x1080
1024
Sharpness
352x240
30 fps
Sharpness
704x480, 30 fps
Sharpness
1280x720
30 fps
Motion
1280x720
30 fps
Motion
352x480
30 fps
Motion,
352x240
30 fps
Motion
704x480
30fps
Resolution
Call Speed
Sharpness 1920x1080
30/15 fps (RX/TX)
Artisan Technology Group - Quality Instrumentation ... Guaranteed | (888) 88-SOURCE | www.artisantg.com

Table of Contents

Related product manuals