EasyManua.ls Logo

Powtran PR5200 5R5G3 - Page 25

Powtran PR5200 5R5G3
40 pages
Print Icon
To Next Page IconTo Next Page
To Next Page IconTo Next Page
To Previous Page IconTo Previous Page
To Previous Page IconTo Previous Page
Loading...
Section Protection and description
21
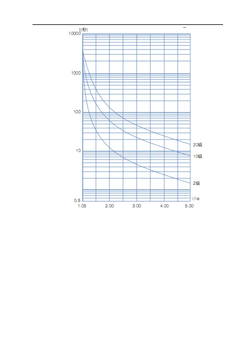
Protection tripping time curve (thermal state)

Table of Contents

Related product manuals