EasyManua.ls Logo

Realistic STA-115 - Page 49

Realistic STA-115
66 pages
Print Icon
To Next Page IconTo Next Page
To Next Page IconTo Next Page
To Previous Page IconTo Previous Page
To Previous Page IconTo Previous Page
Loading...
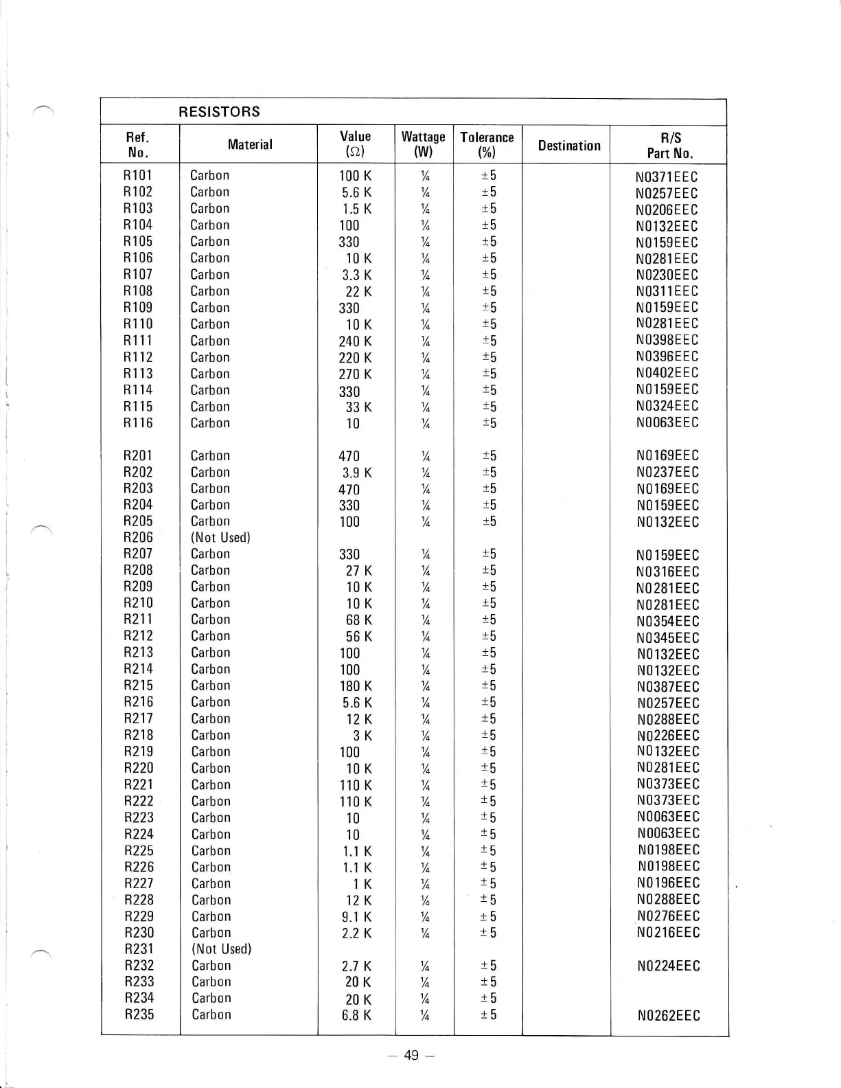
RESISTORS
Ref
.
No.
Material
Value
(o)
Wattage
(w)
Tolerance
(%l
Destinatio n
Bis
Part No.
R 101
R 102
R 103
R 104
R 105
R',t06
R
107
R
1OB
R 109
R110
R111
R112
R113
R114
R115
R116
R
201
R202
R203
R
204
B 205
R206
R207
R2OB
R209
R210
R21 i
R212
R21
3
R214
R2',t5
R21
6
R217
R21B
R
219
R220
R221
R222
R223
R224
R225
R226
R227
R228
R229
R230
R23
1
R232
R233
R234
R235
Carb
o n
Carbon
Carbon
Carbon
Carbon
Carbon
Carbon
Carbon
Carbon
Carbon
Carbon
Carbon
Carbon
Carbon
Carb
o n
Carbon
Carbon
Carb
o n
Carbon
Carbon
Carbon
(Not
Used)
Carbon
Carbon
Carbon
Carbon
Carb o
n
Carbon
Carbon
Carbon
Carbo
n
Carbon
Carbon
Carbon
Carbon
Carbon
Carbon
Carbon
Carb
o
n
Carbon
Carbon
Carbon
Carbon
Carbon
Carbon
Carbon
(Not
Used)
Carbon
Carbon
Carbon
Carbon
100
K
5.6
K
i.5 K
100
330
10 K
3.3
K
22K
330
10
K
240
K
220 K
270
K
330
33K
10
470
3.9
K
470
330
100
330
27K
10
K
10
K
68K
56K
100
100
180
K
5.6
K
12K
3K
100
10 K
i10 K
110 K
10
10
1.1 K
1.1 K
1K
12K
9.1
K
2.2 K
2.7 K
20K
20K
6.8 K
lo
To
lo
lo
1/
/4
,/o
,/o
lo
t/o
lo
To
lo
1/o
1/
/4
1/q
1/
/4
To
,/o
To
lo
lo
1/q
Tq
1/
/4
t/o
,/o
,/o
1/
/4
1/
/4
lo
,/o
lo
,/o
,/o
1/
/4
lo
To
1/
/4
lo
%
To
lo
To
lo
1/
/4
lo
Tt
To
1/
/4
t5
r5
t5
r5
r5
r5
15
15
r5
t5
r5
15
15
r5
t5
15
r5
15
l5
t5
l5
15
15
r5
r5
r5
15
15
r5
r5
t5
15
r5
r5
15
15
15
15
t5
+E
t5
15
t5
r5
15
15
15
15
15
N0371 EEC
N0257 E E
C
N0206E
E
C
N01
32EEC
N0159EEC
N0281
EEC
N()23()EEC
NO31 1
EEC
N(]159EEC
N0281
EEC
N(]398E
E C
N0396E E
C
NO4O2E
E
C
NO159EEC
N0324EEC
N0063EEC
NO169EEC
NO237EE C
N0169EEC
N()159EEC
N0 132EEC
N0159EEC
N0316EEC
N0281EEC
NO281
EEC
N
0354E
E
C
N0345EEC
NO132EEC
NO132EEC
N0387EEC
N0257 E E
C
NO2BBE
E
C
N0226EEC
NOl32EEC
N(]281EEC
N0373EEC
N0373EE
C
NO063EEC
N0063EEC
N01 98EEC
NO1 98EEC
NOl96EEC
N0
288EEC
NO276EEC
N0
21
6EE C
NO 224E
E
C
NO262EE
C
49-

Related product manuals