EasyManua.ls Logo

Realistic STA-115 - Page 50

Realistic STA-115
66 pages
Print Icon
To Next Page IconTo Next Page
To Next Page IconTo Next Page
To Previous Page IconTo Previous Page
To Previous Page IconTo Previous Page
Loading...
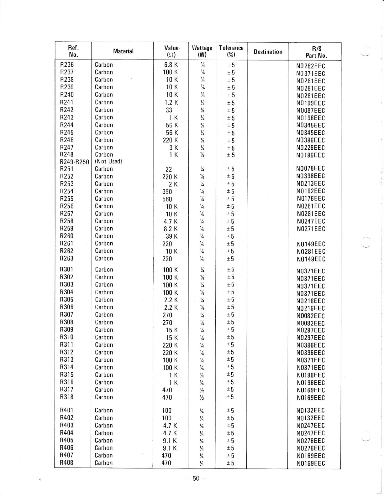
Ref
.
No.
Material
Value'
(o)
Wattage
(w)
Tolerance
%l
Destination
B/S
Part No.
R236
R237
R238
R239
R240
R241
R242
R243
R244
R245
R246
R247
R248
R249-R250
R
251
R252
R253
R254
R255
R256
R257
R25B
R259
R260
R26 1
R262
R263
R301
R302
R303
R304
R305
R306
R307
R3()B
R
309
R310
R31 1
R
312
R31
3
R31 4
R31
5
831
6
R31
7
R31
8
R401
R402
R403
R404
R405
R406
R407
R40B
Carbon
Carbon
Carbon
Carbon
Carbon
Carbon
Carbon
Carbon
Carbon
Carbon
Carbon
Carbon
Carbon
(Not
Used)
Carbon
Carbon
Carbon
Carbon
Carbon
Carbon
Carbon
Carbon
Carbon
Carbon
Carbon
Carbon
Carbon
Carbon
Carbon
Carbon
Carbon
Carbon
Carbon
Carbon
Carbon
Carbon
Carbon
Carbon
Carbon
Carbon
Carbon
Carbon
Carbon
Carbon
Carbon
Carbon
Carbon
Carbon
Carbon
Carbon
Carbon
Carbon
Carbon
6.8
K
100
K
10K
10K
10
K
1.2
K
33
1K
s6K
56K
220
K
3K
1K
22
220 K
2K
390
560
10K
10K
4.1 K
8.2
K
39K
220
10K
220
100 K
100
K
100
K
100
K
2.2 K
2.2 K
270
210
15K
15
K
220 K
220
K
100 K
100 K
1K
1K
470
470
100
100
4"7 K
4.7 K
9.1
K
9.1
K
470
470
To
1/o
/4
la
1/
1t
/4
1/
To
Yo
To
lo
lo
%
To
1/
/A
1/
1/
/4
Tq
lo
To
%
'/a
%
'/4
1t
/4
%
%
%
/4
To
Yo
%
ft
/4
%
Y4
Y4
/2
/2
To
/4
%
To
%
/4
%
%
t5
t5
t5
15
15
r5
15
t5
t5
15
15
r5
15
t5
l5
15
r5
t5
t5
t5
r5
t5
i5
t5
t5
t5
r5
t5
15
15
t5
t5
tb
t5
l5
15
15
t5
r5
15
t5
t5
r5
15
l5
15
15
r5
r5
t5
15
r5
N0
262EE
C
N0371EEC
N0281 EEC
N0281 EEC
NO28l
EEC
N0
199EEC
N0087EEC
N0196EEC
NO345EEC
N()345EEC
N0396EE
C
N0226EE
C
N0 1
96EEC
N0078EEC
N0396E
EC
N02t 3EE C
N0
1
62EE C
N(]l 76EE C
N0281
EEC
N()2BlEEC
N0247 E E
C
N0271 EEC
N0149EEC
NO281EEC
N0
149EEC
N0371
EEC
N0371
EEC
N0371
EEC
N0371
EEC
N021 6E
EC
Nt) 21 6E EC
N0082EEC
NO082E
EC
N0297EE
C
N0297EE
C
N0396E
EC
N0396EE
C
N0371 EEC
N0371
EEC
N()196EEC
N01
96EEC
N01 69EEC
N01
69EEC
N0
1
32EEC
N0
1 32EE
C
N0247EEC
N0247EEC
N0276EEC
NO276EEC
N0169EEC
N0169EEC
-50-
1

Related product manuals