EasyManua.ls Logo

Realistic STA-21 - Page 14

Realistic STA-21
36 pages
Print Icon
To Next Page IconTo Next Page
To Next Page IconTo Next Page
To Previous Page IconTo Previous Page
To Previous Page IconTo Previous Page
Loading...
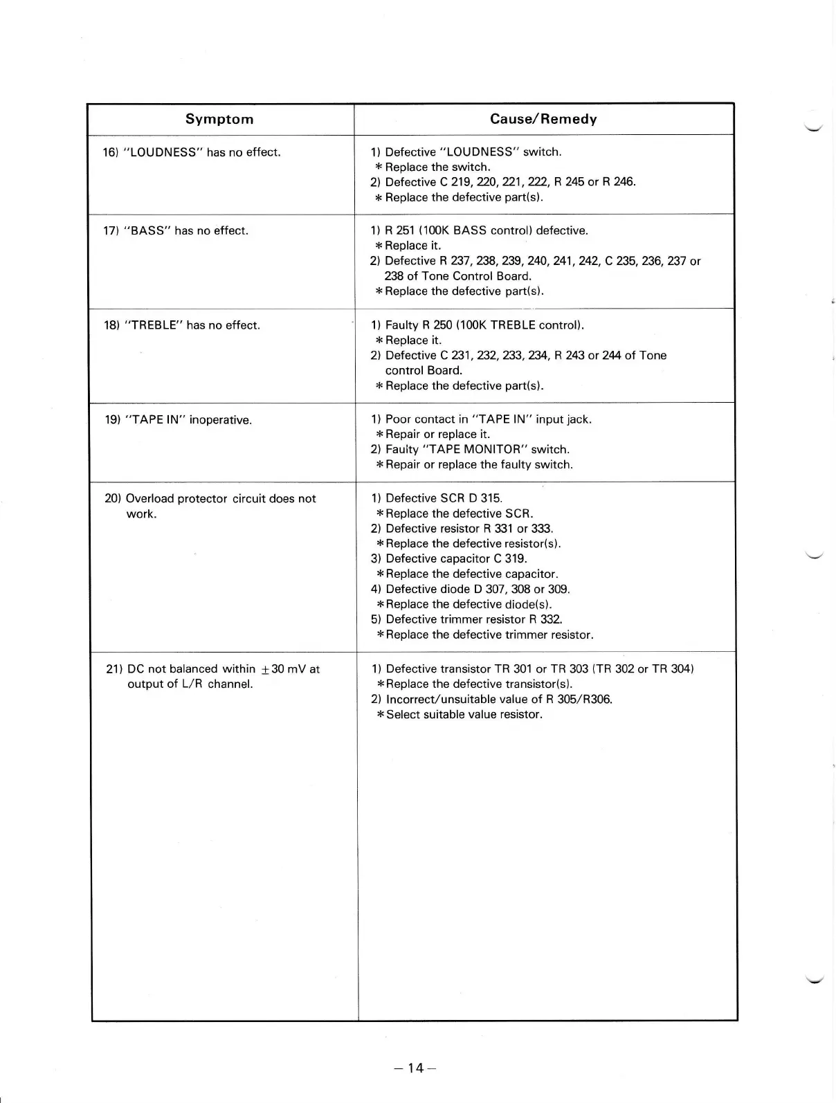
Symptom Cause/Remedy
16)
"LOUDNESS"
has no effect. 1) Defective
"LOUDNESS"
switch.
x
Replace
the switch.
2)
Defective C
219, 220, 221,
)r?,
R 245 or R 246.
x
Replace the defective
part(s).
17)
"BASS"
has no effect.
1) R 251
(100K
BASS control) defective.
x
Replace it.
2)
Def
ective
R 237, 238,
239, 240, 241, 242,
C
235, 236, 231
or
238 of Tone Control Board.
x
Replace the defective
part(s).
18)
"TREBLE"
has no
effect.
1) Faulty R 250
(100K
TREBLE control).
*
Replace it.
2) Defective C 231,232,233,234, R 2(l or 24 ot Tone
control
Board.
*
Replace
the
defective
part(s).
19)
"TAPE
lN"
inoperative.
1) Poor contact in
"TAPE
lN" input
jack.
x
Repair
or
replace it.
2) Faulty
"TAPE
MONITOR"
switch.
x
Repair
or
replace
the faulty switch.
20)
Overload
protector
circuit does
not
work.
1)
Defective
SCR
D
315.
x
Replace the defective
SCR.
2)
Defective resistor R
331 or 333.
x
Replace
the defective resistor(s).
3)
Defective capacitor
C 319.
x
Replace the defective capacitor.
4)
Defective
diode D 307, 308 or
309.
*
Replace the defective
diode(s).
5)
Defective
trimmer resistor R 332.
x
Replace
the defective trimmer resistor.
21
)
DC not balanced
within
+ 30 mV
at
output
of
L,/R
channel.
1)
Defective
transistor TR 301 or TR 303
(TR
302 or TR 304)
x
Replace the defective
transistor(s).
2)
lncorrect,/unsuitable
value
of
R
305/R306.
x
Select
suitable
value resistor.
-
14-

Related product manuals