EasyManua.ls Logo

Realistic STA-78 - Page 29

Realistic STA-78
40 pages
Print Icon
To Next Page IconTo Next Page
To Next Page IconTo Next Page
To Previous Page IconTo Previous Page
To Previous Page IconTo Previous Page
Loading...
F
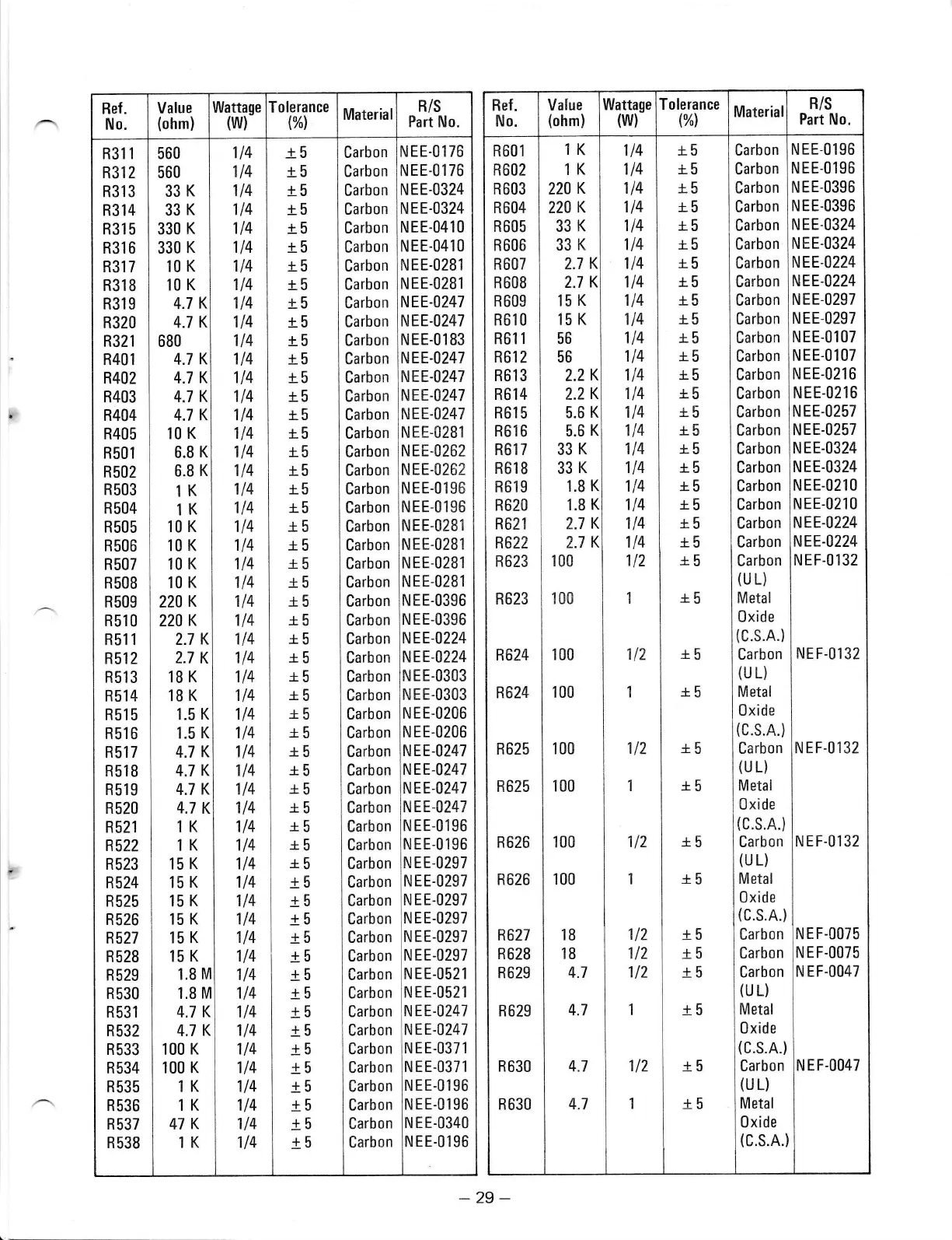
Bef .
No.
Value
(ohm)
Wattage
(w)
Tolerance
t%l
Material
B/S
Part No.
R31
1
R31 2
R31 3
R314
R31
5
R31
6
H31
7
8318
R31 I
R320
R321
R401
R402
R403
R404
R405
R501
R502
R503
R504
R505
R506
R507
R508
R509
R51
0
R51 1
R51
2
R51 3
851
4
R51 5
R51
6
851 7
R51 I
R51
I
R520
R521
R522
R523
R524
R525
R526
R527
R528
R529
R530
8531
R532
R533
R534
R535
R536
R537
R538
560 I
560 |
I
33K
I
33K I
330K I
330K I
10K I
l()K I
4.7 Kl
4.7 Kl
680 I
4.7 Kl
4.7 Kl
4.7 Kl
4.7 Kl
10K
I
6.8 Kl
6.8 Kl
1K I
1K I
10K I
10K I
I
10K
I
10K
22A
K
220
K
2.1
K
2.7 K
18K
18K
1.5 K
1.5
K
4.7
K
4.7 K
4.7
K
4.7
K
1K
1K
15 K
15
K
15
K
15K
15 K
15K
1.8
M
1.8 M
4.7
K
4.7
K
100
K
100
K
1K
1K
47K
1K
114
114
114
114
114
114
114
114
114
114
114
114
114
114
114
114
114
114
114
114
114
114
114
114
114
114
114
114
114
114
114
114
114
114
114
114
114
114
114
114
114
114
114
114
114
114
114
114
114
114
114
114
114
114
I
+5
+5
+5
+5
+5
t5
+5
+5
+5
+5
+5
+5
+5
a5
i.5
i5
i5
r.5
r.5
+.5
r5
+5
t5
_r5
l5
t5
r5
+5
+5
l5
+5
t5
a5
r5
*5
+5
r5
+5
*5
+5
+5
+5
+5
+5
+5
+5
+5
+5
+5
+5
+5
+5
+5
+5
Carbon
Carbon
Carbon
Carbon
Carbon
Carbon
Carbon
Carbon
Carbon
Carbon
Carbon
Carbon
Carbon
Carbon
Carbon
Carbon
Carbon
Carbon
Carbon
Carbon
Carbon
Carbon
Carbon
Carbon
Carbon
Carbon
Carbon
Carbon
Carbon
Garbon
Carbon
Carbon
Carbon
Carbon
Carbon
Carbon
Carbon
Carbon
Carbon
Carbon
Carbon
Carbon
Carbon
Carbon
Carbon
Carbon
Carbon
Carbon
Carbon
Carbon
Carbon
Carbon
Carbon
Carbon
N
E E-01 76
N
EE-0176
N
E E-0324
N
E E-0324
N EE-0410
N E E-041 0
N
E E-0281
N EE-0281
N EE-0247
N E E.0247
N E E-0183
N
EE-0247
N
EE-0247
N EE-0247
N E E-0247
N
EE-0281
N EE-0262
N
EE-0262
N E E-0196
N E E-01
96
N EE-0281
N
E E-0281
N EE-0281
N
E
E-0281
N
E E-0396
N
EE-0396
N E
E-0224
N E
E-0224
N
E E-0303
N
EE-0303
N
E E-0206
N EE-0206
N EE-0247
N EE-0247
lru r e
-oz+z
lru r r-oz+z
I
lNEE.0196
INEE-0196
lru
rr-ozsz
I N E E-0297
hN rr-ozsz
lN ee-ozsz
I
lN
EE-0297
lN
EE-0297
lru r e-osz r
I
lN
EE-0521
lN
EE-0247
lN
EE-0247
lN e r-osz r
I
lN
E E-037 1
lN E E-0196
I
lNEE.01e6
lN
EE-0340
lN rr-or ss
I
I
Ref
.
No.
Value
(ohm)
Wattage
(w)
Tolerance
t%l
Material
R/S
Part
No.
R601
R602
R603
R604
R605
R606
R607
R608
R609
861 0
R61 1
R6t
2
R61 3
R614
R61 5
R61 6
R61 7
R61
I
R61 I
R620
R621
R622
R623
R623
R624
R624
R625
R625
R626
R626
R627
R628
R629
R629
R630
R630
1K
I
1K I
220K I
22oK I
33K I
33K
I
2.7 Kt
2.7
Kl
15 K I
15K I
56 1
56
I
2.2K:
2.2
K\
5.6 K
5.6 K
33K
33K
1.8
K
I.8
K
2.7
K
2.7
K
100
100
r00
100
100
100
100
100
18
18
4.7
4.7
4.1
4.7
112
112
112
114
114
114
114
114
114
114
114
114
114
114
114
114
114
114
114
114
114
114
114
114
114
112
1
1
1
1
112
112
112
112
1
1
r5
r5
r5
t5
t5
r.5
t5
r5
t5
t5
r5
*.5
t5
r5
t5
r5
*.5
t5
r5
t5
r5
t5
r5
*5
r5
t5
r5
*5
*5
t5
+5
+5
+5
+5
+5
+5
Carbon I
Carbon
I
Carbon I
Carbon I
Carbon
I
Carbon I
Carbon
I
Carbon I
Carbon
I
Carbon
I
Carbon I
Carbon I
Carbon
I
Carbon I
Carbon
I
Carbon
I
Carbon
I
Carbon I
Carbon I
Carbon
I
Carbon
I
Carbon
I
Carbon I
(uL)
I
Metal I
0xide
I
(c.s.A.)l
Carbon l
(U
L)
Metal
0xide
(c.s.A.)
Carbon
(U
L)
Metal
0xide
(c.s.A.)
Carbon
(U
L)
Metal
0xide
(c.s.A.)
Carbon
Carbon
Carbon
(U
L)
Metal
0xide
Itc.s.a.t
I
carnon
l(uL)
lMetal
I
o*iut
l(c.s.A.)
N EE.0196
N EE-0196
N
EE-0396
N E E-0396
N
EE-0324
N EE-0324
N E E-0224
N E E-0224
N EE-0297
N E
E-0297
N
E E-0107
N
EE-0107
N
EE-0216
N EE-0216
N
EE-0257
N
E E-0257
N EE-0324
N EE.0324
N
EE-0210
N
EE-0210
N EE-0224
N
EE-0224
N
EF-0132
NE F-0132
N E F-01 32
[:::::
I
-29-

Related product manuals