EasyManua.ls Logo

Realistic STA-78 - Jumper Wires

Realistic STA-78
40 pages
Print Icon
To Next Page IconTo Next Page
To Next Page IconTo Next Page
To Previous Page IconTo Previous Page
To Previous Page IconTo Previous Page
Loading...
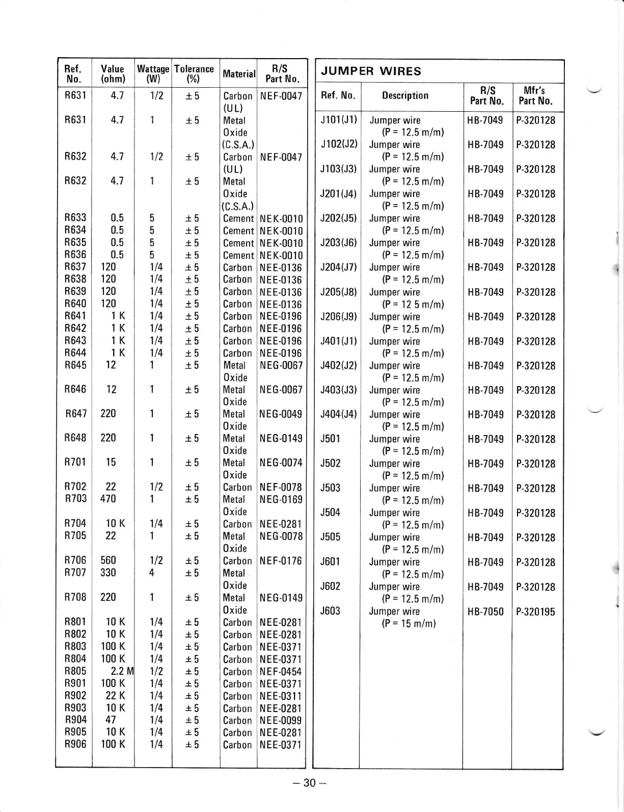
Ref
.
No.
Value
(ohm)
Wattage
(w)
Tolerance
t%l
Material
R/S
Part
No.
R631
8631
R632
R632
R633
R634
R635
R636
R637
R638
R639
R640
R641
R642
R643
R644
R645
R646
R647
R648
H701
Rt02
R703
R704
R705
R706
R707
R708
R801
R802
R803
R804
R805
R901
R902
R903
R904
H905
R906
4.7
4.7
0.5
0.5
0.5
0.5
120
120
120
120
1K
1K
1K
1K
12
12
220
220
15
10K
22
220
10K
10K
100 K
100 K
2.2N
r00 K
22K
10K
47
10K
100 K
4.7
4.7
22
470
560
330
1
1
I
1
114
114
114
114
112
114
114
114
114
114
114
112
112
5
5
5
5
114
114
114
114
114
114
114
114
1
1
1
1
112
1
114
1
112
4
*5
r5
r5
a5
r5
r5
r5
+5
+5
+5
+5
r5
t5
r5
+5
r5
r5
r5
a5
+5
+5
a5
r5
+5
*.5
+5
+5
+5
+5
+5
+5
+5
+5
r5
t5
+5
+5
*5
a5
Carbon
(U
L)
Metal
0xide
(c.s.A.)
Carbon
(U
L)
Metal
0xide
(c.s.A.)
Cement
Cement
Cement
Cement
Carbon
Carbon
Carbon
Carbon
Carbon
Carbon
Carbon
Carbon
Metal
0xide
Metal
0xide
Metal
0xide
Metal
0xide
Metal
0xide
Carbon
Metal
0xide
Carbon
Metal
0xide
Carbon
Metal
0xide
Metal
0xide
Carbon
Carbon
Carbon
Carbon
Carbon
Carbon
Carbon
Carbon
Carbon
Carbon
Carbon
N EF-0047
N E F-0047
N E
K-001 0
N E
K-001
0
NEK-0010
NEK-0010
N EE-0136
NEE-0136
N E
E-01
36
N E E-01
36
N E E-0196
N
E
E-0196
N E E-0196
N E E-0196
N EG-0067
N E
G-0067
N
EG-0049
N EG-0149
N EG-0074
N E F-0078
N EG-0169
N E
E-0281
N
EG-0078
N E F-0176
NEG-0149
N EE-0281
N
EE-0281
N E E-0371
N
E E.0371
N E F-0454
N
E E-0371
NEE-0311
N E E-0281
N E E-0099
N EE-028r
N E E-0371
JUMPER
WIRES
Hef. No.
Description
B/S
Part
No.
Mfr's
Part
No.
J101(Jr)
J 102(J2)
J
103(J3)
J201(l4l
J202(J5)
J203(J6)
J204lJ7l
J205(J8)
J206(J9)
J401(J1)
1402(l2l
J403(J3)
J404(J4)
J501
J502
J503
J504
J505
J601
J602
J603
Jumper
wire
(P
=
12.5 m/m)
Jumper
wire
(P
=
t2.b
m/m)
Jumper
wire
(P
=
12.5 m/m)
Jumper wire
(P
=
t2.b
m/m)
Jumper
wire
(P
=
12.b m/m)
Jumper wire
(P
=
12.5
m/m)
Jumper wire
(P
=
t2.b m/m)
Jumper wire
lP=125mlm)
Jumper
wire
(P
=
12.5 m/m)
Jumper
wire
(P
=
12.b m/m)
Jumper
wire
(P
=
t2.b mlm)
Jumper wire
(P
=
12.5 m/m)
Jumper wire
(P
=
12.5 m/m)
Jumper
wire
(P
=
12.b m/m)
Jumper
wire
(P
=
t2.b m/m)
Jumper
wire
(p
=
t2.E m/m)
Jumper
wire
(P
= 12.5 m/m)
Jumper
wire
(p
=
12.b m/m)
Jumper
wire
(P
= 12.b m/m)
Jumper
wire
(P
=
12.b m/m)
Jumper
wire
(P
=
15 m/m)
H
B-7049
HB-7049
HB-7049
H B-7049
H B-7049
HB-7049
H
B-7049
H B-7049
H B-7049
H B-7049
H B-7049
H B-7049
H B-7049
H B-7049
HB-7049
H B-7049
HB-7049
H
B-7049
H B-7049
H B-7049
H B-7050
P-320128
P-320128
P-320128
P-320128
P-320128
P-320128
P-3201
28
P-320128
P-320128
P-320128
P.320128
P-3201
28
P-320128
P-320128
P-320128
P-320128
P-320128
P-320128
P-320128
P-320128
P-320195
i
I
+
I
a
-30-

Related product manuals