EasyManua.ls Logo

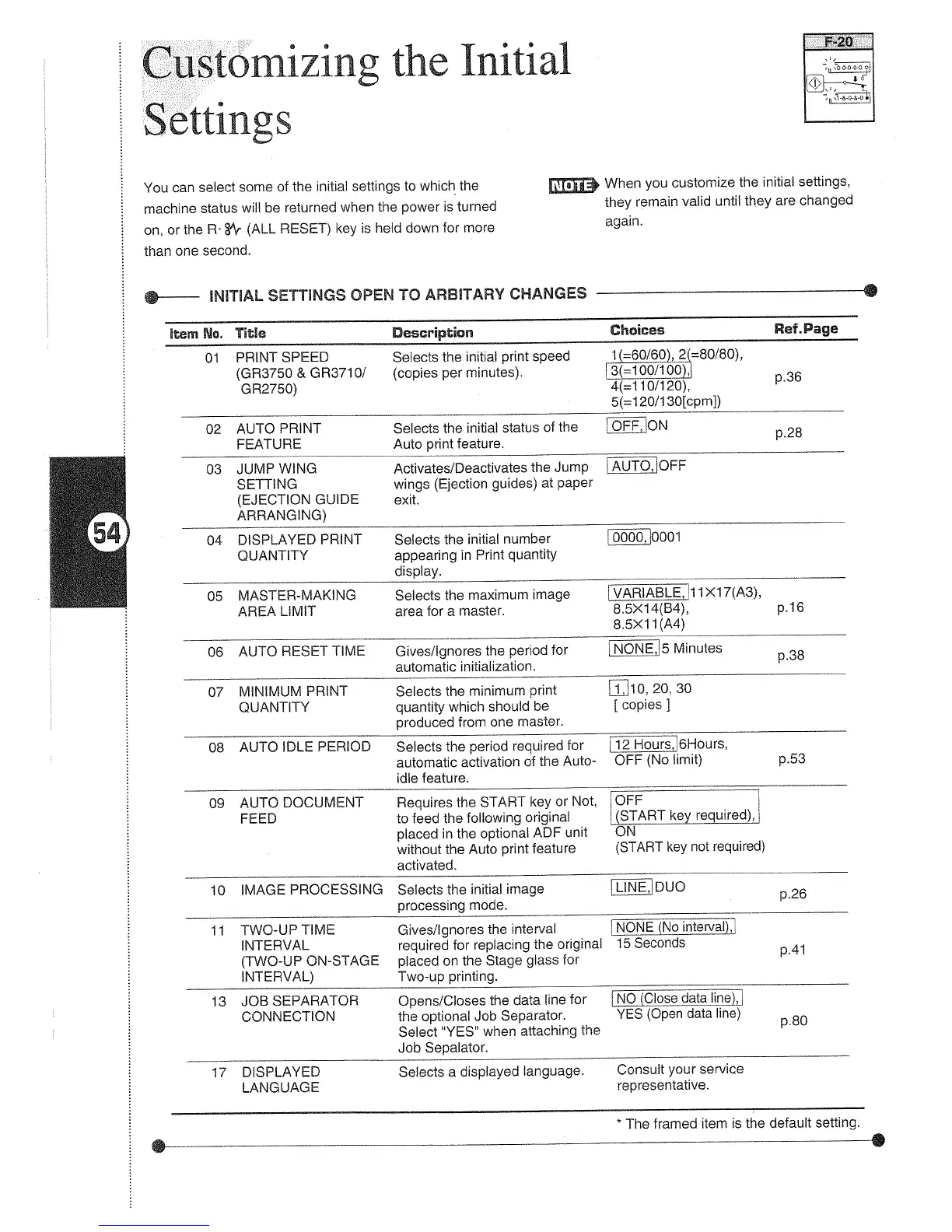
Riso GR2750 - Customizing the Initial Settings

Riso GR2750
88 pages
Print Icon
To Next Page IconTo Next Page
To Next Page IconTo Next Page
To Previous Page IconTo Previous Page
To Previous Page IconTo Previous Page
Loading...

Table of Contents

Related product manuals