EasyManua.ls Logo

RJS Inspector D4000 - Appendix C: Analysis Parameters; ISO;ANSI Parameter Grading Overview

Default Icon
82 pages
Print Icon
To Next Page IconTo Next Page
To Next Page IconTo Next Page
To Previous Page IconTo Previous Page
To Previous Page IconTo Previous Page
Loading...
Operators Guide Appendix C
002-5564 RJS, Minneapolis, MN
38
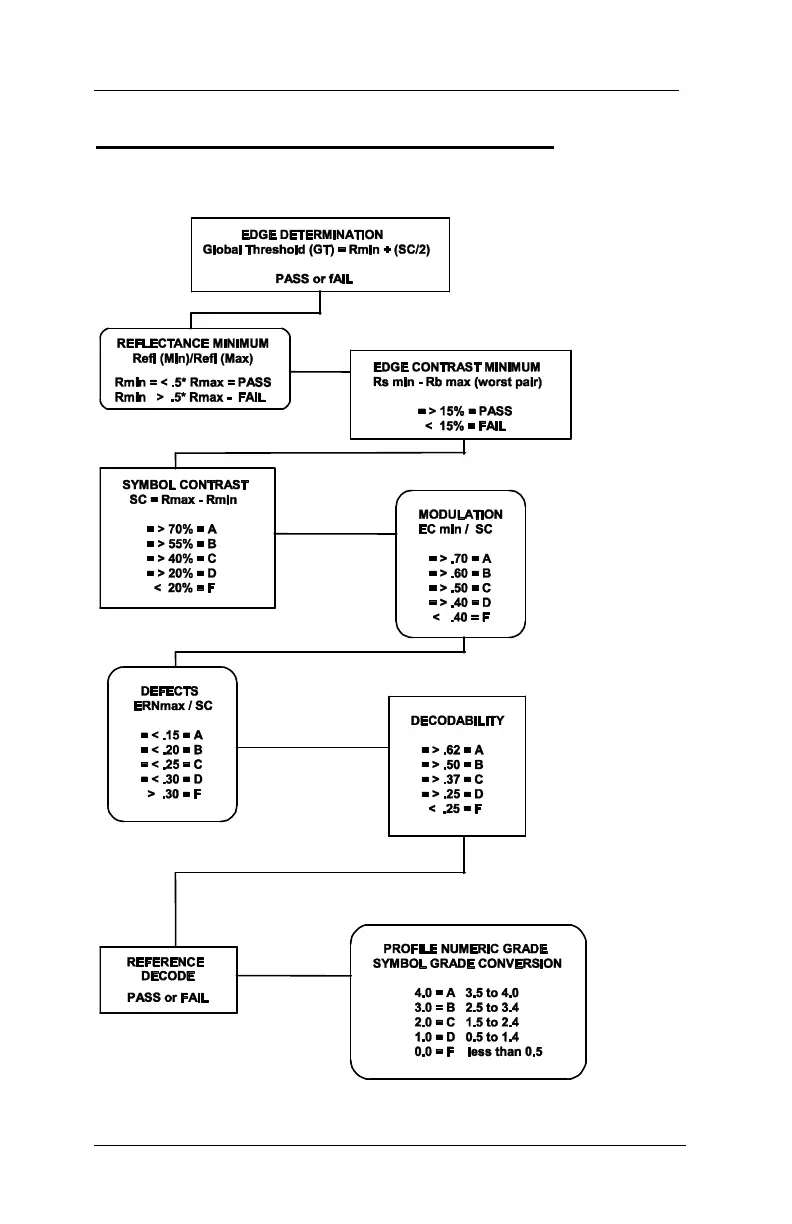
Appendix C (Analysis Parameters)
ISO/ANSI Parameter Grading

Other manuals for RJS Inspector D4000

Related product manuals