EasyManua.ls Logo

Rolls Battery - AGM Battery Charger Inspection and Guidelines; AGM Charging Characteristics

Rolls Battery
23 pages
Print Icon
To Next Page IconTo Next Page
To Next Page IconTo Next Page
To Previous Page IconTo Previous Page
To Previous Page IconTo Previous Page
Loading...
5
RoLLS AgM BATTERY CHARgiNg iNSTRUCTioNS
To maximize the life of your Rolls battery, it is important that it is properly charged.
Over and under-charging a Rolls battery will result in shortened service life. The best
protection from improper charging is the use of a quality charger and routinely checking
that the charger current and voltage settings are maintained. Please review the following
Rolls Battery Charging Instructions.
AGM CHARGER INSPECTION
The charger cabling should be insulated and free of breaks or cuts. The cable connectors
should be clean and properly mate with the battery terminals to ensure a snug connection.
The charger’s AC cord should be free of breaks or cuts and the wall plug should be clean.
AGM CHARGING GUIDELINES
Fully charge batteries after each use. Charge in a ventilated area as gasses may be
released through the pressure relief valve if the batteries are excessively over-charged.
Never charge a frozen battery. Ideal charging temperatures: 32°F – 104°F (0°C – 4C).
AGM CHARGING CHARACTERISTICS
If the charger has a setting for AGM, use this setting to charge your Rolls battery.
To maximize your battery life, a voltage regulated charger with temperature compensation
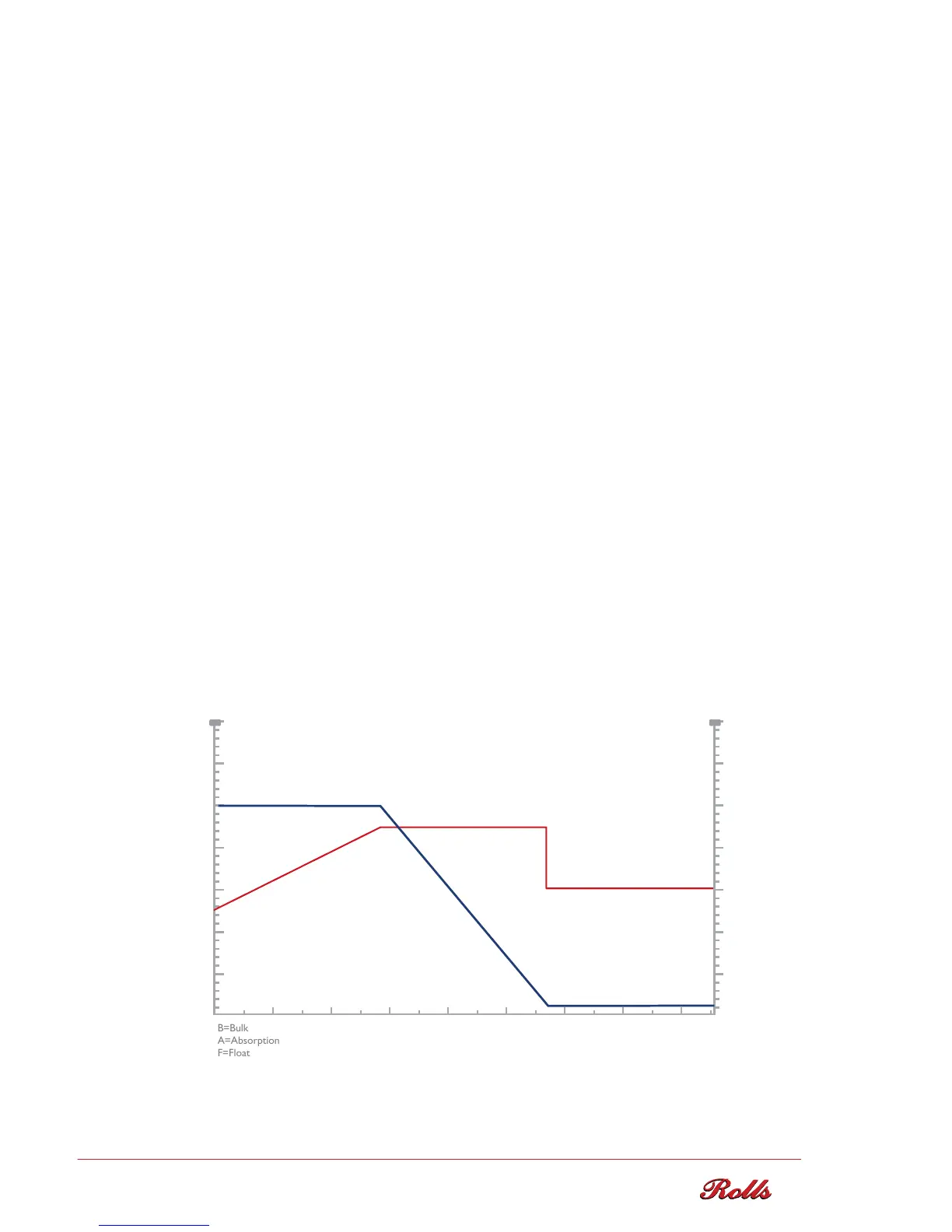
is strongly recommended. See Figure 1 for the recommended voltage regulated
charge profile.
Voltage Regulated Charger – UU
B=Bulk
A=Absorption
F=Float
1.75
0.00
0.20
0.15
0.10
0.25
0.05
0.30
0.35
2.07
2.03
2.00
1.98
1.86
2.00
2.40
2.30
2.20
2.50
2.10
2.60
2.70
  
B = 0.25 x C20 (1max = 0.35 x C20)
A = 2.45V/Cell (+/- .05V/Cell)
F = 2.3V/Cell (+/- .25V/Cell)
CHARGING TIME: NO LIMIT
CURRENT (X C20 RATE)
VOLTAGE PER CELL
Temperature: 25ºC (77ºF)
Temperature Coefcient: -4mV/ºC/cell (-2mV/ºF/cell)
1
2
=0.007 x C
20