EasyManua.ls Logo

Saft SBL - 7. Battery Sizing Principles in Stationary Standby Applications; 7.1 The Voltage Window; 7.2 Discharge Profile Requirements; 7.3 Temperature Influence on Sizing

Default Icon
30 pages
Print Icon
To Next Page IconTo Next Page
To Next Page IconTo Next Page
To Previous Page IconTo Previous Page
To Previous Page IconTo Previous Page
Loading...
6.9Water consumption
and gas evolution
During charging, more ampere-hours
are supplied to the battery than the
capacity available for discharge.
These additional ampere-hours must
be provided to return the battery to
the fully charged state and, since they
are not all retained by the cell and
do not all contribute directly to the
chemical changes to the active
materials in the plates, they must be
dissipated in some way. This surplus
charge, or over-charge, breaks down
the water content of the electrolyte
into oxygen and hydrogen; and pure
distilled water has to be added to
replace this loss.
Water loss is associated with the
current used for overcharging. A
battery which is constantly cycled,
i.e. is charged and discharged on
a regular basis, will consume more
water than a battery on standby
operation.
In theory, the quantity of water used
can be found by the faradic equation
that each ampere hour of overcharge
breaks down 0.366 cm
3
of water.
However, in practice, the water usage
will be less than this, as the
overcharge current is also needed
to support self-discharge of the
electrodes.
The overcharge current is a function
of both voltage and temperature,
so both have an influence on the
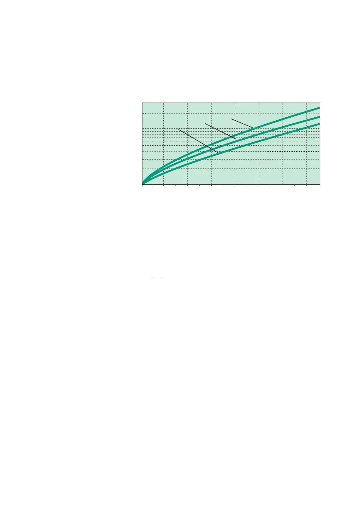
consumption of water. Figure 5 gives
typical water consumption values over
a range of voltages for different plate
types.
16
Figure 5 - Water consumption values for different voltages and plate types
1
0.1
1.4 1.42 1.44 1.46 1.48 1.5 1.52 1.54
cm /month, Ah
Temperature +25°C
L type
M type
H type
3
Example: An SBM 161 is floating at
1.43 volts per cell. The electrolyte
reserve for this cell is 500 cm
3
.
From Figure 5, an M type cell at
1.43 volts per cell will use
0.27 cm
3
/month for one Ah of
capacity. Thus an SBM 161 will use
0.27 x 161 = 43.5 cm
3
per month
and the electrolyte reserve will be
used in 500
= 11.5 months.
43.5
The gas evolution is a function of the
amount of water electrolyzed into
hydrogen and oxygen and are
predominantly given off at the end
of the charging period. The battery
gives off no gas during a normal
discharge.
The electrolysis of 1 cm
3
of water
produces 1865 cm
3
of gas mixture
and this gas mixture is in the
proportion of 2/3 hydrogen and
1/3 oxygen. Thus the electrolysis
of 1 cm
3
of water produces about
1240 cm
3
of hydrogen.
BlockBat 3/11/98 10:12 Page 19
Home Back Home Back Home Back
Home
Back
Contents

Table of Contents

Related product manuals