EasyManua.ls Logo

Samsung MH068FXEA4 - In case of AUTO ADDRESSING mode (SW2-1:ON)

Samsung MH068FXEA4
208 pages
Print Icon
To Next Page IconTo Next Page
To Next Page IconTo Next Page
To Previous Page IconTo Previous Page
To Previous Page IconTo Previous Page
Loading...
Troubleshooting
12-3Samsung Electronics 12-3
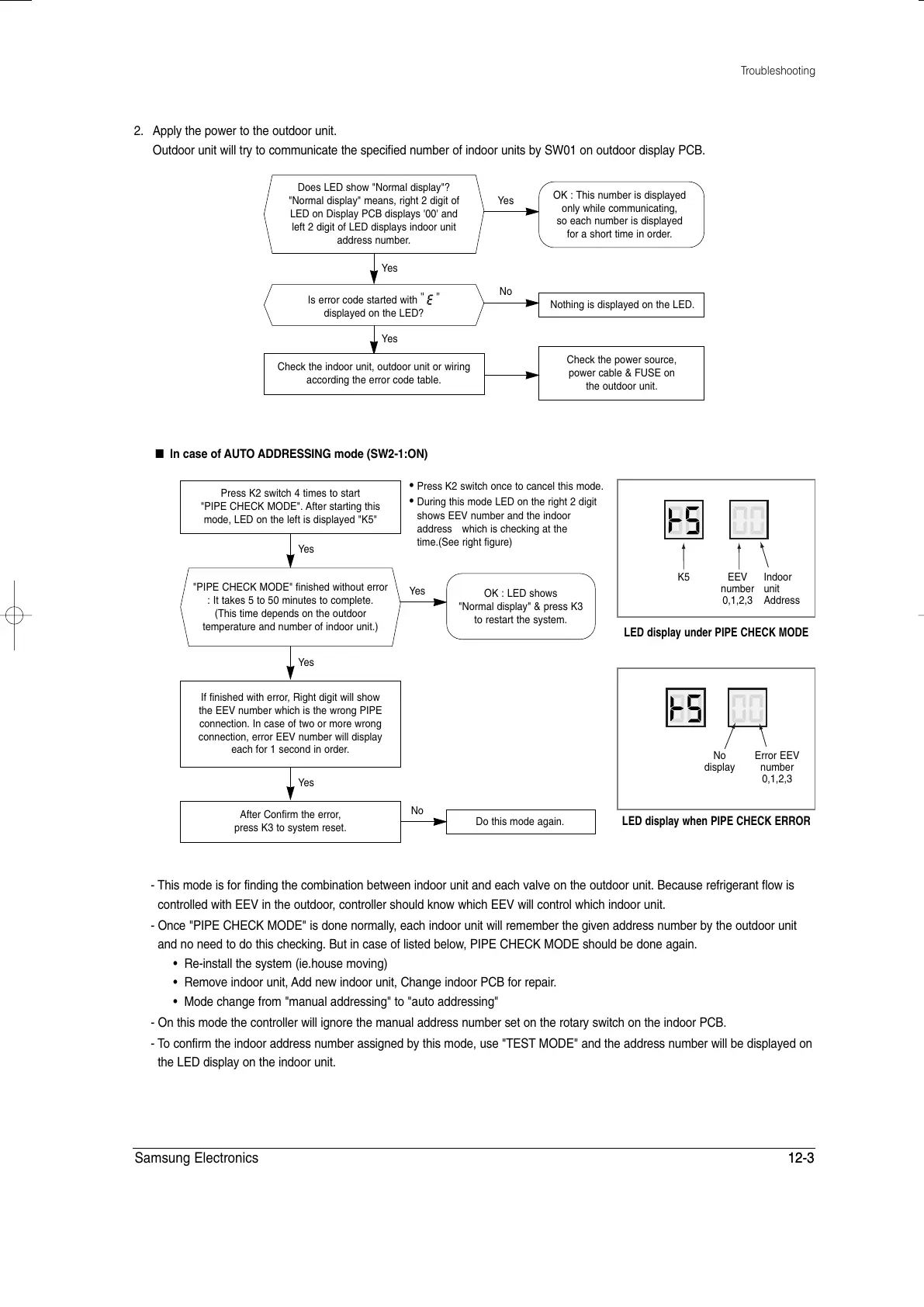
2. Apply the power to the outdoor unit.
Outdoor unit will try to communicate the specified number of indoor units by SW01 on outdoor display PCB.
2.
In case of AUTO ADDRESSING mode (SW2-1:ON)
Press K2 switch once to cancel this mode.
During this mode LED on the right 2 digit
shows EEV number and the indoor
address which is checking at the
time.(See right figure)
K5 EEV
number
0,1,2,3
Indoor
unit
Address
LED display under PIPE CHECK MODE
No
display
Error EEV
number
0,1,2,3
LED display when PIPE CHECK ERROR
- This mode is for finding the combination between indoor unit and each valve on the outdoor unit. Because refrigerant flow is
controlled with EEV in the outdoor, controller should know which EEV will control which indoor unit.
- Once "PIPE CHECK MODE" is done normally, each indoor unit will remember the given address number by the outdoor unit
and no need to do this checking. But in case of listed below, PIPE CHECK MODE should be done again.
2. - • Re-install the system (ie.house moving)
2. - • Remove indoor unit, Add new indoor unit, Change indoor PCB for repair.
2. - • Mode change from "manual addressing" to "auto addressing"
- On this mode the controller will ignore the manual address number set on the rotary switch on the indoor PCB.
- To confirm the indoor address number assigned by this mode, use "TEST MODE" and the address number will be displayed on
the LED display on the indoor unit.
OK : This number is displayed
only while communicating,
so each number is displayed
for a short time in order.
Nothing is displayed on the LED.
Check the power source,
power cable & FUSE on
the outdoor unit.
Yes
No
Yes
Yes
Does LED show "Normal display"?
"Normal display" means, right 2 digit of
LED on Display PCB displays '00' and
left 2 digit of LED displays indoor unit
address number.
Is error code started with
'' ''
displayed on the LED?
Check the indoor unit, outdoor unit or wiring
according the error code table.
OK : LED shows
"Normal display" & press K3
to restart the system.
Do this mode again.
Yes
No
Yes
Yes
Yes
Press K2 switch 4 times to start
"PIPE CHECK MODE". After starting this
mode, LED on the left is displayed "K5"
"PIPE CHECK MODE" finished without error
: It takes 5 to 50 minutes to complete.
(This time depends on the outdoor
temperature and number of indoor unit.)
If finished with error, Right digit will show
the EEV number which is the wrong PIPE
connection. In case of two or more wrong
connection, error EEV number will display
each for 1 second in order.
After Confirm the error,
press K3 to system reset.
24296A(1)_2 11/11/05 5:07 PM Page 12-3