EasyManua.ls Logo

Samsung MH068FXEA4 - Technical Document - Cooling (7.5 m-Piping)

Samsung MH068FXEA4
208 pages
Print Icon
To Next Page IconTo Next Page
To Next Page IconTo Next Page
To Previous Page IconTo Previous Page
To Previous Page IconTo Previous Page
Loading...
Reference Information
Samsung Electronics15-3
2-1-1 MH18AP1(P2)
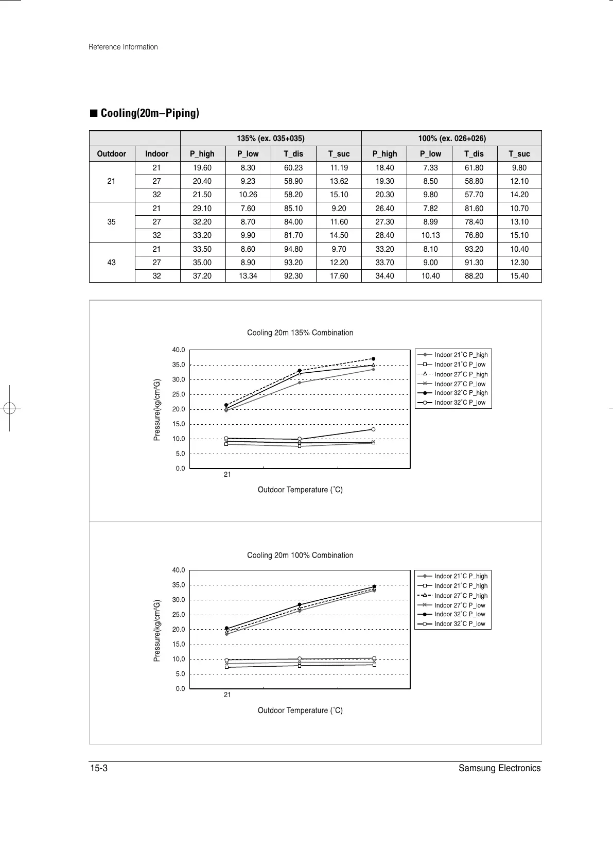
Cooling(20mPiping)
Outdoor Indoor P_high P_low T_dis T_suc P_high P_low T_dis T_suc
21 19.60 8.30 60.23 11.19 18.40 7.33 61.80 9.80
21 27 20.40 9.23 58.90 13.62 19.30 8.50 58.80 12.10
32 21.50 10.26 58.20 15.10 20.30 9.80 57.70 14.20
21 29.10 7.60 85.10 9.20 26.40 7.82 81.60 10.70
35 27 32.20 8.70 84.00 11.60 27.30 8.99 78.40 13.10
32 33.20 9.90 81.70 14.50 28.40 10.13 76.80 15.10
21 33.50 8.60 94.80 9.70 33.20 8.10 93.20 10.40
43 27 35.00 8.90 93.20 12.20 33.70 9.00 91.30 12.30
32 37.20 13.34 92.30 17.60 34.40 10.40 88.20 15.40
135% (ex. 035+035) 100% (ex. 026+026)
24296A(1)_2 11/11/05 5:07 PM Page 12-26