EasyManua.ls Logo

Samsung MH068FXEA4 - Indoor Unit Parts List - MH020 FPEA;MH023 FPEA;...;MH30 VP2-12

Samsung MH068FXEA4
208 pages
Print Icon
To Next Page IconTo Next Page
To Next Page IconTo Next Page
To Previous Page IconTo Previous Page
To Previous Page IconTo Previous Page
Loading...
5-2Samsung Electronics
Exploded Views and Parts List
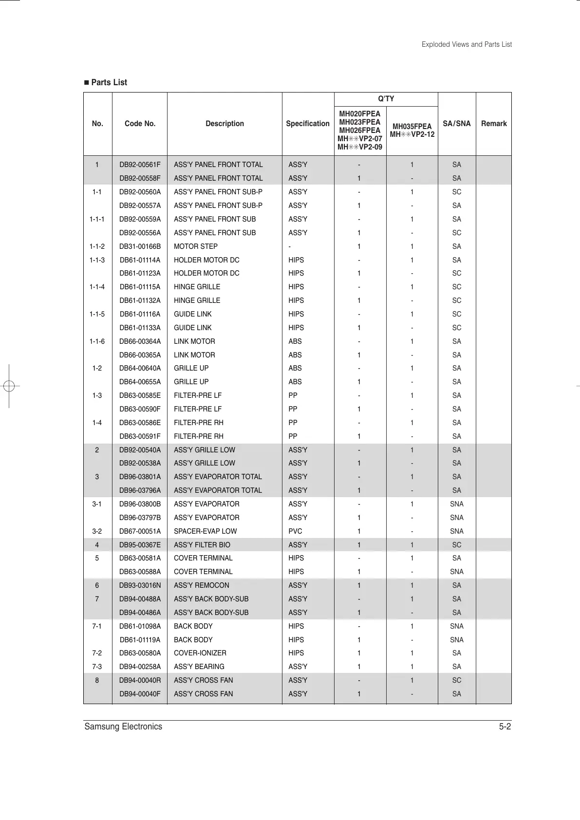
1 DB92-00561F ASS'Y PANEL FRONT TOTAL ASS'Y -
DB92-00558F ASS'Y PANEL FRONT TOTAL ASS'Y 1
1-1 DB92-00560A ASS'Y PANEL FRONT SUB-P ASS'Y -
DB92-00557A ASS'Y PANEL FRONT SUB-P ASS'Y 1
1-1-1 DB92-00559A ASS'Y PANEL FRONT SUB ASS'Y -
DB92-00556A ASS'Y PANEL FRONT SUB ASS'Y 1
1-1-2 DB31-00166B MOTOR STEP - 1
1-1-3 DB61-01114A HOLDER MOTOR DC HIPS -
DB61-01123A HOLDER MOTOR DC HIPS 1
1-1-4 DB61-01115A HINGE GRILLE HIPS -
DB61-01132A HINGE GRILLE HIPS 1
1-1-5 DB61-01116A GUIDE LINK HIPS -
DB61-01133A GUIDE LINK HIPS 1
1-1-6 DB66-00364A LINK MOTOR ABS -
DB66-00365A LINK MOTOR ABS 1
1-2 DB64-00640A GRILLE UP ABS -
DB64-00655A GRILLE UP ABS 1
1-3 DB63-00585E FILTER-PRE LF PP -
DB63-00590F FILTER-PRE LF PP 1
1-4 DB63-00586E FILTER-PRE RH PP -
DB63-00591F FILTER-PRE RH PP 1
2 DB92-00540A ASS'Y GRILLE LOW ASS'Y -
DB92-00538A ASS'Y GRILLE LOW ASS'Y 1
3 DB96-03801A ASS'Y EVAPORATOR TOTAL ASS'Y -
DB96-03796A ASS'Y EVAPORATOR TOTAL ASS'Y 1
3-1 DB96-03800B ASS'Y EVAPORATOR ASS'Y -
DB96-03797B ASS'Y EVAPORATOR ASS'Y 1
3-2 DB67-00051A SPACER-EVAP LOW PVC 1
4 DB95-00367E ASS'Y FILTER BIO ASS'Y 1
5 DB63-00581A COVER TERMINAL HIPS -
DB63-00588A COVER TERMINAL HIPS 1
6 DB93-03016N ASS'Y REMOCON ASS'Y 1
7 DB94-00488A ASS'Y BACK BODY-SUB ASS'Y -
DB94-00486A ASS'Y BACK BODY-SUB ASS'Y 1
7-1 DB61-01098A BACK BODY HIPS -
DB61-01119A BACK BODY HIPS 1
7-2 DB63-00580A COVER-IONIZER HIPS 1
7-3 DB94-00258A ASS'Y BEARING ASS'Y 1
8 DB94-00040R ASS'Y CROSS FAN ASS'Y -
DB94-00040F ASS'Y CROSS FAN ASS'Y 1
Parts List
Q'TY
SA/SNA Remark
No. Code No. Description Specification
1
-
1
-
1
-
1
1
-
1
-
1
-
1
-
1
-
1
-
1
-
1
-
1
-
1
-
-
1
1
-
1
1
-
1
-
1
1
1
-
SA
SA
SC
SA
SA
SC
SA
SA
SC
SC
SC
SC
SC
SA
SA
SA
SA
SA
SA
SA
SA
SA
SA
SA
SA
SNA
SNA
SNA
SC
SA
SNA
SA
SA
SA
SNA
SNA
SA
SA
SC
SA
MH020FPEA
MH023FPEA
MH026FPEA
MH✳✳VP2-07
MH✳✳VP2-09
MH035FPEA
MH✳✳VP2-12
24296A(1)_1 11/15/05 11:12 AM Page 4-35

Other manuals for Samsung MH068FXEA4

Related product manuals