EasyManua.ls Logo

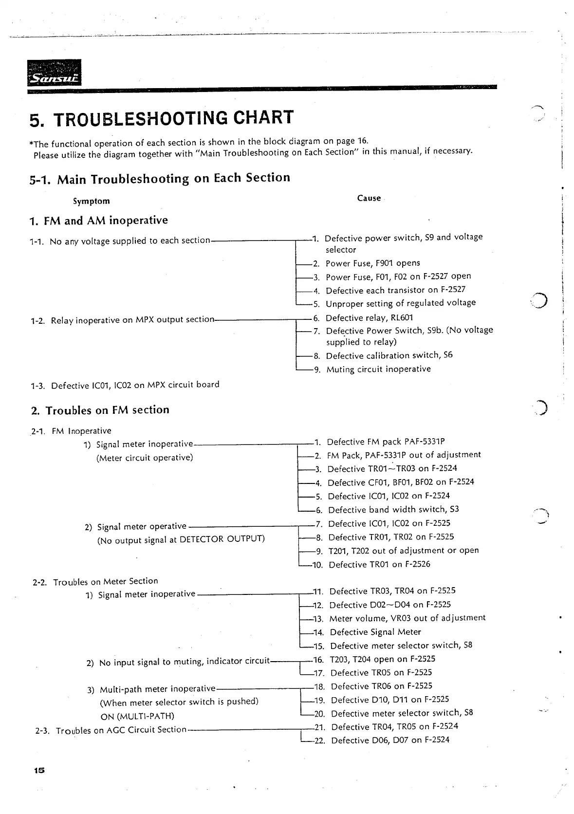
Sansui TU-9900 - Sansui TU-9900 Troubleshooting Guide; Main Troubleshooting by Section

Sansui TU-9900
18 pages
Print Icon
To Next Page IconTo Next Page
To Next Page IconTo Next Page
To Previous Page IconTo Previous Page
To Previous Page IconTo Previous Page
Loading...

Other manuals for Sansui TU-9900

Related product manuals