EasyManua.ls Logo

Sanyo ICR-FP600D - File Division and File Naming after Division

Sanyo ICR-FP600D
55 pages
To Next Page IconTo Next Page
To Next Page IconTo Next Page
To Previous Page IconTo Previous Page
To Previous Page IconTo Previous Page
Loading...
GB-31
- Whenafileisdivided,thedivisionpointmaybedisplacedalittle
ineitherdirectionfromthedesignatedposition.
- Afilecannotbedividedinthefollowingcases.
-InsufficientavailablespaceintheSDcard.
-Thenumberoffileshasreachedtheupperlimit.
-Divisionatthebeginningofthefileisattempted.
-Fileinthe"
"folder.
-TheSDcardislocked.
Note
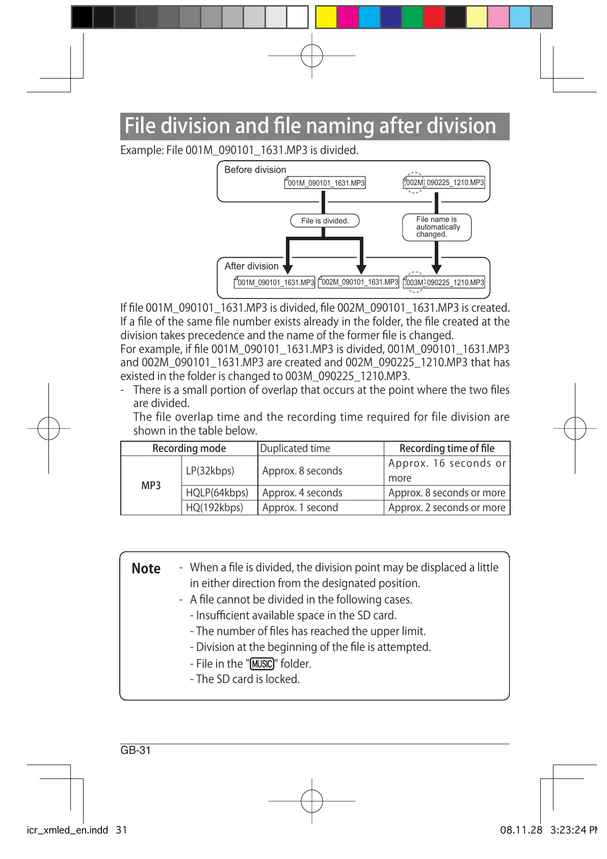
Filedivisionandfilenamingafterdivision
Example:File001M0901011631.MP3isdivided.
001M_090101_1631.MP3
002M_090225_1210.MP3
001M_090101_1631.MP3
002M_090101_1631.MP3
003M_090225_1210.MP3
Before division
File is divided.
File name is
automatically
changed.
After division
Iffile001M0901011631.MP3isdivided,file002M0901011631.MP3iscreated.
Ifafileofthesamefilenumberexistsalreadyinthefolder,thefilecreatedatthe
divisiontakesprecedenceandthenameoftheformerfileischanged.
Forexample,iffile001M0901011631.MP3isdivided,001M0901011631.MP3
and002M0901011631.MP3arecreatedand002M0902251210.MP3thathas
existedinthefolderischangedto003M0902251210.MP3.
- Thereisasmallportionofoverlapthatoccursatthepointwherethetwofiles
aredivided.
Thefileoverlaptimeandtherecordingtimerequiredforfiledivisionare
showninthetablebelow.
Recordingmode Duplicatedtime Recordingtimeoffile
MP3
LP(32kbps) Approx.8seconds
Approx.16secondsor
more
HQLP(64kbps) Approx.4seconds Approx.8secondsormore
HQ(192kbps) Approx.1second Approx.2secondsormore
gap]vkjcb]cl,glbb1/ .6,//,061801802N
K
All manuals and user guides at all-guides.com

Table of Contents

Related product manuals