EasyManua.ls Logo

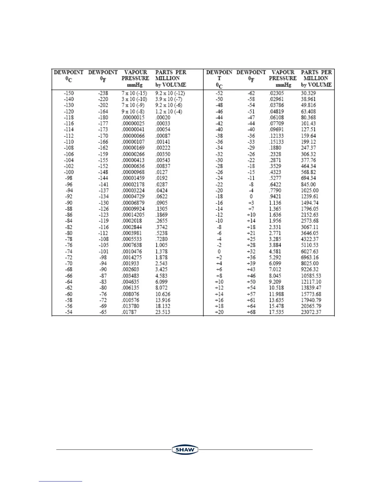
Shaw SADP - 13 Hygrometric Equivalents

Shaw SADP
21 pages
Print Icon
To Next Page IconTo Next Page
To Next Page IconTo Next Page
To Previous Page IconTo Previous Page
To Previous Page IconTo Previous Page
Loading...
SADP_Operating_ Instructions_0114
13 Hygrometric Equivalents