EasyManua.ls Logo

Siargo FS4001 - Analog Output

Default Icon
22 pages
Print Icon
To Next Page IconTo Next Page
To Next Page IconTo Next Page
To Previous Page IconTo Previous Page
To Previous Page IconTo Previous Page
Loading...
15
www.Siargo.com FS4001 User Manual
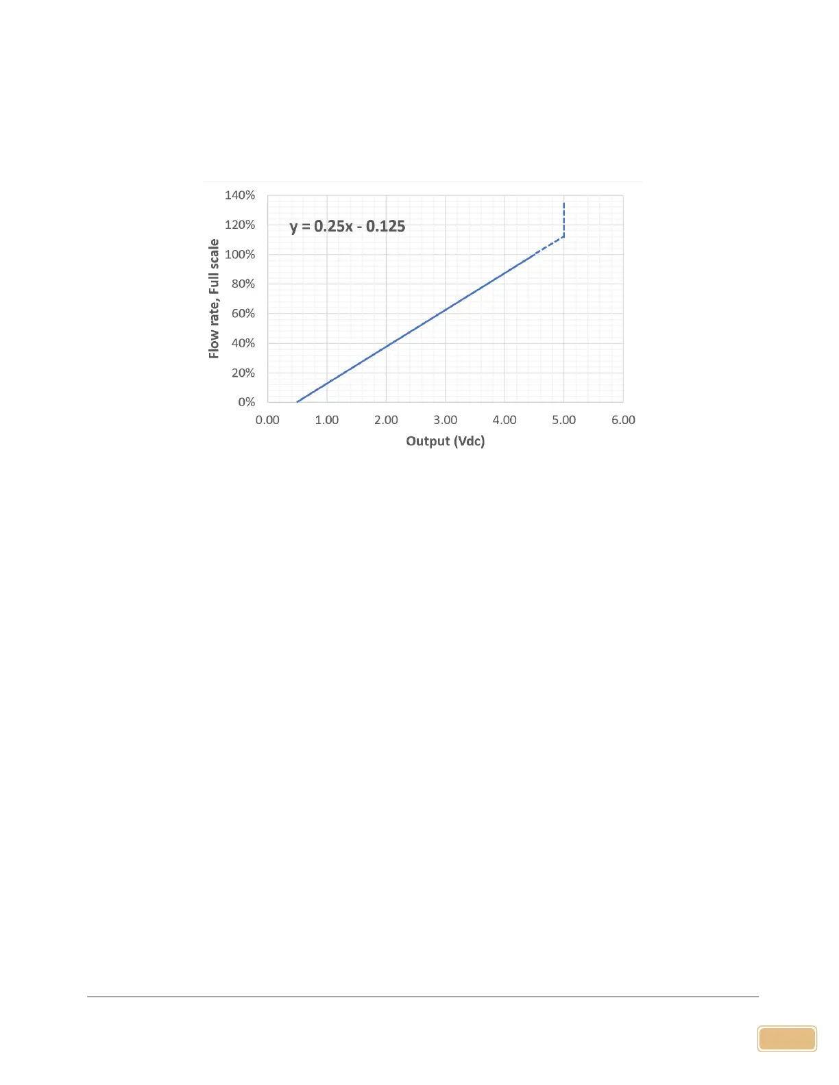
7.2. Analog output
Figure 7.2.1. Typical analog output.