EasyManua.ls Logo

Siemens Simatic S7-1500 - Page 147

Siemens Simatic S7-1500
188 pages
To Next Page IconTo Next Page
To Next Page IconTo Next Page
To Previous Page IconTo Previous Page
To Previous Page IconTo Previous Page
Loading...
Technical specifications
CPU 1512C-1 PN (6ES7512-1CK00-0AB0)
Manual, 09/2016, A5E35306440-AB
147
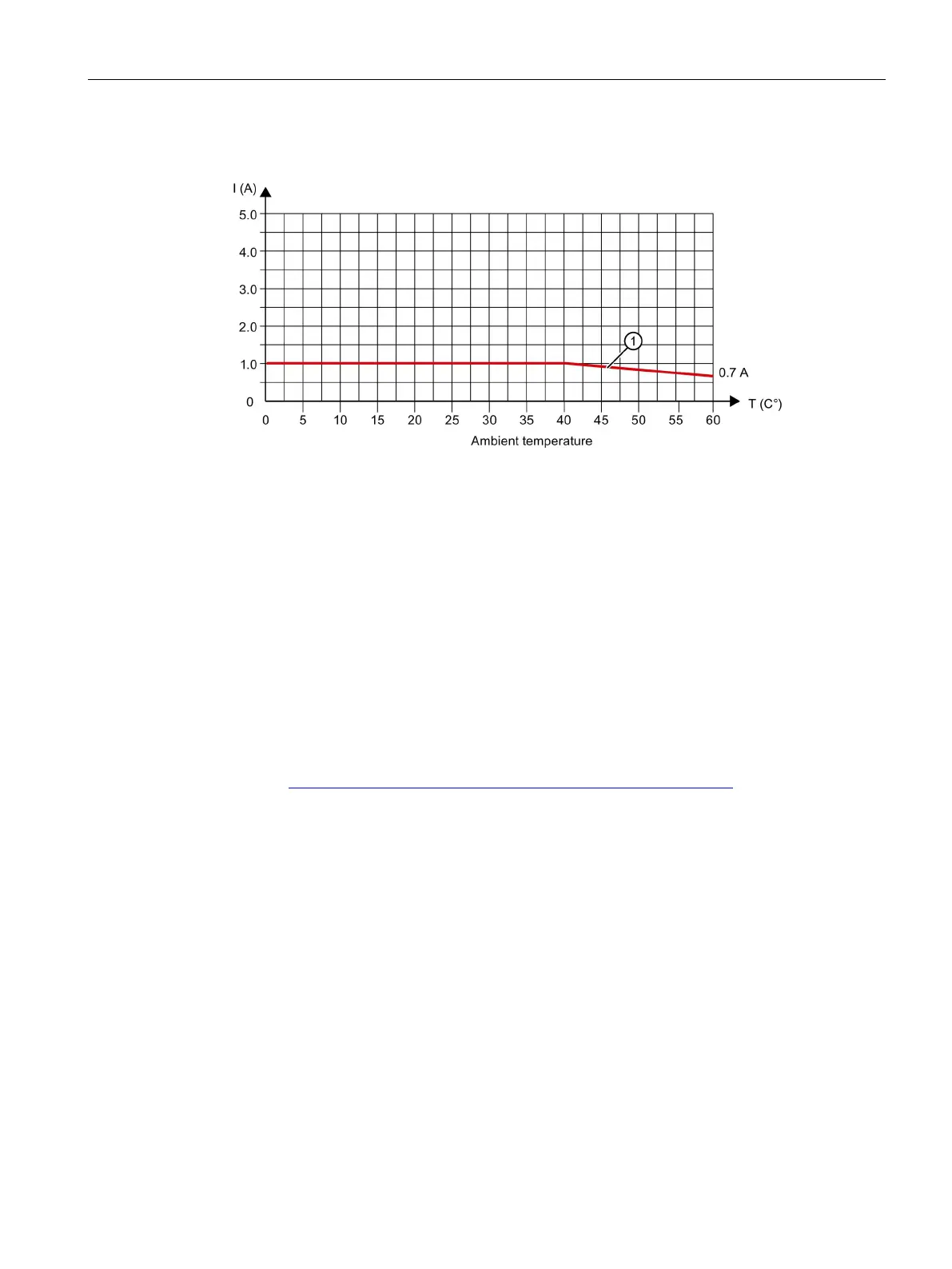
The following figure shows the load rating of the current for encoder supplies of digital inputs.
Horizontal mounting position
Figure 7-3 Load rating of the current for encoder supplies of digital inputs when technology
functions are used
Simultaneity of digital inputs per group
If the maximum voltage at the inputs is 24 V, all the digital inputs may be simultaneously at
high level (corresponds to 100% of the digital inputs).
If the maximum voltage at the inputs is 30 V, only 12 digital inputs of 16 digital inputs of one
group may be simultaneously at high level (corresponds to 75% of the digital inputs).
General technical specifications
For information on the general technical specifications, such as standards and approvals,
electromagnetic compatibility, protection class, etc., refer to the S7-1500, ET 200MP system
manual (http://support.automation.siemens.com/WW/view/en/59191792
).

Table of Contents

Other manuals for Siemens Simatic S7-1500

Related product manuals