EasyManua.ls Logo

SIGMA SYSTEMS C4 - Format of a Program Step

Default Icon
122 pages
Print Icon
To Next Page IconTo Next Page
To Next Page IconTo Next Page
To Previous Page IconTo Previous Page
To Previous Page IconTo Previous Page
Loading...
46
C4 Manual Rev 7.5.2
6.1.1 Format of a Program Step
FORMAT OF A STEP
substep
)))))),
step )))0, * -----------data------------
** *
00.0 -TTT.T - temp (setpoint)
00.1 HH.MM - ramp time
00.2 HH.MM - hold time
00.3 NNN - next step
00.4 P - control probe
where: step is the current program step number (00 - 99)
substep is the current program substep (0-4)
TTT.Tis the setpoint temperature displayed to the nearest .1°C
HH is hour(s) (00 - 99) for ramp or hold
MM is minute(s) (00 - 59) for ramp or hold
NNN is the next program step number (00 - 100) to execute
P is the number of the probe (1 or 2) to use for control or...
P is the special command indicator (values of 3 thru 7)
(See 6.8 for details)
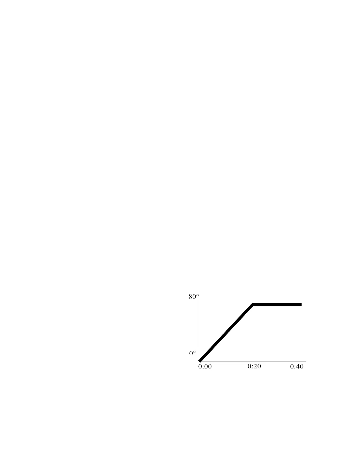
The simple graph at the right shows a
typical ramp & hold scenario. In this
example the user wants to ramp from
0° to 78° in 20 minutes and then hold
78° for the next 20 minutes. A single
program step will accomplish both
tasks.
The sample program step below will
pass control to program step 6 when it
has completed.
Artisan Technology Group - Quality Instrumentation ... Guaranteed | (888) 88-SOURCE | www.artisantg.com

Table of Contents