EasyManua.ls Logo

SonicWALL SMA 210 - Page 6

SonicWALL SMA 210
32 pages
Print Icon
To Next Page IconTo Next Page
To Next Page IconTo Next Page
To Previous Page IconTo Previous Page
To Previous Page IconTo Previous Page
Loading...
SonicWall SMA 100 Series
6
Security Best Practice Guide
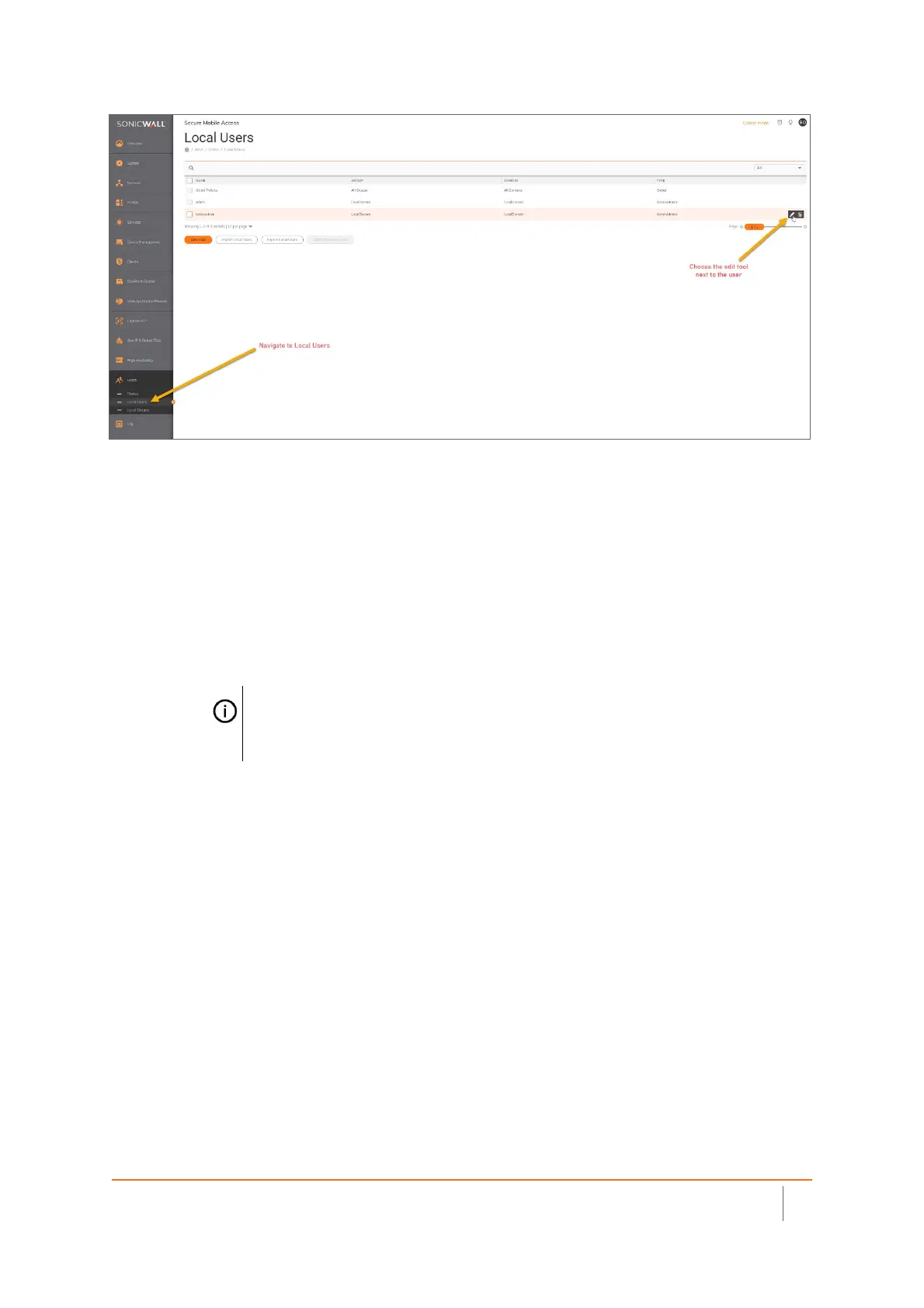
4. Click the tab labeled Login Policies.
5. Choose how to deliver the token:
a. Users discretion: This will display all three methods as options. You may choose which ones
you wish to display for the user by ensuring a check mark is next to each one.
b. Use Email: This will enable the token to be sent via email. The users email address will need
to be entered into their user info under the general tab
c. Use App: This will allow you to use Google or Microsoft Authenticator, Duo, or any RADIUS
BASED 2FA product that you have setup following the directions in the KB referenced above
for 2FA
d. Use Short Message: This will enable the SMS text message option
c
NOTE: Y
ou will need to enable this first in order to select the SMS template and enter the
users phone number (Mobile device capable of receiving a text message) then you may
choose user discretion as noted above

Other manuals for SonicWALL SMA 210

Related product manuals