EasyManua.ls Logo

Sony STR-D360Z - Page 13

Sony STR-D360Z
23 pages
Print Icon
To Next Page IconTo Next Page
To Next Page IconTo Next Page
To Previous Page IconTo Previous Page
To Previous Page IconTo Previous Page
Loading...
Receiver
Operations
Recording
This
receiver
makes
it
easy
to
record
to
and
from
the
components
connected
to
the
receiver,
You
don't
have
to
connect
playback
and
recording
components
directly:
once
you
select
a
program
source
on
the
receiver,
you
can
record
and
edit
as
you
normally
would
using
the
controls
on
each
component.
Before
you
begin,
make
sure
you've
connected
all
components
properly.
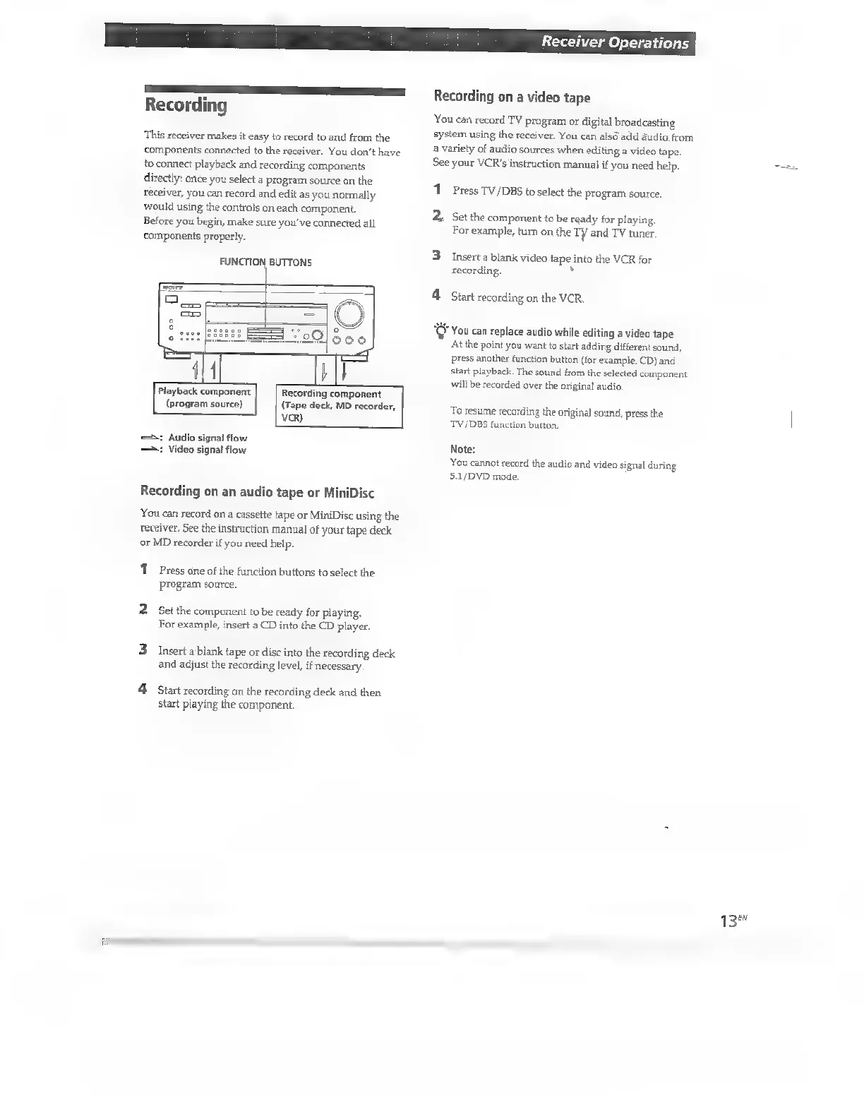
FUNCTION
BUTTONS
Recording
component
(Tape
deck,
MD
recorder,
VCR)
Playback
component
(program
source)
—:
Audio
signal
flow
jeo
signal
flow
Recording
on
an
audio
tape
or
MiniDisc
You
can
record
on
a
cassette
tape
or
MiniDisc
using
the
receiver.
See
the
instruction
manual
of
your
tape
deck
or
MD
recorder
if
you
need
help.
1
Press
one
of
the
function
buttons
to
select
the
program
source.
2
Set the
component
to
be
ready
for
playing.
For
example,
insert
a
CD
into
the
CD
player.
3
Insert
a
blank
tape
or
disc
into
the
recording
deck
and
adjust
the
recording
level,
if
necessary.
4
Start
recording
on
the
recording
deck
and
then
start
playing
the
component.
Recording
on
a
video
tape
You
can
record
TV
program
or
digital
broadcasting
system
using
the
receiver.
You
can
alsô
add
audio
from
a
variety
of
audio
sources
when
editing
a
video
tape.
See
your
VCR's
instruction
manual
if
you
need
help.
ez
71
Press
TV/DBS
to
select
the
program
source.
2
Set
the
component
to
be
ready
for
playing
For
example,
turn
on
the
TY
and
TV
tuner.
3
Insert
a
blank video
tape
into
the
VCR
for
recording.
y
4
Start
recording
on
the
VCR
©
You
can
replace
audio
while
editing
a
video
tape
At
the
point
you
want
to
start
adding
different
sound,
press
another
function
button
(for
example,
CD)
and
start
playback.
The
sound
from
the
selected
component
will
be
recorded
over
the
original
audio.
To
resume
recording
the
original
sound,
press
the
TV/DBS
function
button.
Note:
You
cannot
record
the
audio
and
video
signal
during
5.1/DVD
mode.
13%

Other manuals for Sony STR-D360Z

Related product manuals