EasyManua.ls Logo

STRATOS HSSD - Referencing Systems

STRATOS HSSD
48 pages
Print Icon
To Next Page IconTo Next Page
To Next Page IconTo Next Page
To Previous Page IconTo Previous Page
To Previous Page IconTo Previous Page
Loading...
World Patents Pending ©AirSense Technology Ltd. 1999
ISSUE 2.4
Page 22
TECHNICAL. MANUAL
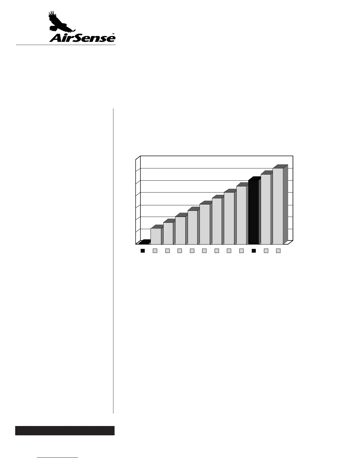
The following graph shows the value sent to the D/A converter for a given bargraph
reading. this voltage is present on pin 22 of the interface connector. On the universal
terminal interface module, the connection is marked as ‘Chart Rec.’.
Chart recorder
analogue output
70
13
01234567 910
18
23
28
33
38
43
48
58
58
63
60
50
40
30
20
10
0
Fault
Fire
Each D/A count is equal to approximately 159mV. Full scale is 10V.
Bargraph Reading
With very high sensitivity detectors the problem of external pollution entering an area gets
more acute. This examination describes problems associated with the use of a reference
detector and shows how special features of the STRATOS
®
detector may be used in providing
a solution.
When a room is to be protected with smoke detectors, there are two prime considera-
tions. The first is that it should not give an alarm which, for any reason at all, does not
correspond to a real fire situation as required by the user. The second requirement is
that it should give an alarm for a real fire situation.
One possible source of unwanted alarms is the ingress of smoke into the protected area
from an outside source. With very high sensitivity systems, such as aspirating systems,
this can be a very real problem. Outside sources of smoke pollution may easily rise to
levels above 10% obs/m., more than a hundred times the alarm level of a high
sensitivity air sampling detector system such as Stratos. Where such situations are likely,
Examination
of referencing
systems

Related product manuals