EasyManua.ls Logo

Tascam TM-D8000 - 6.16 Fader grouping

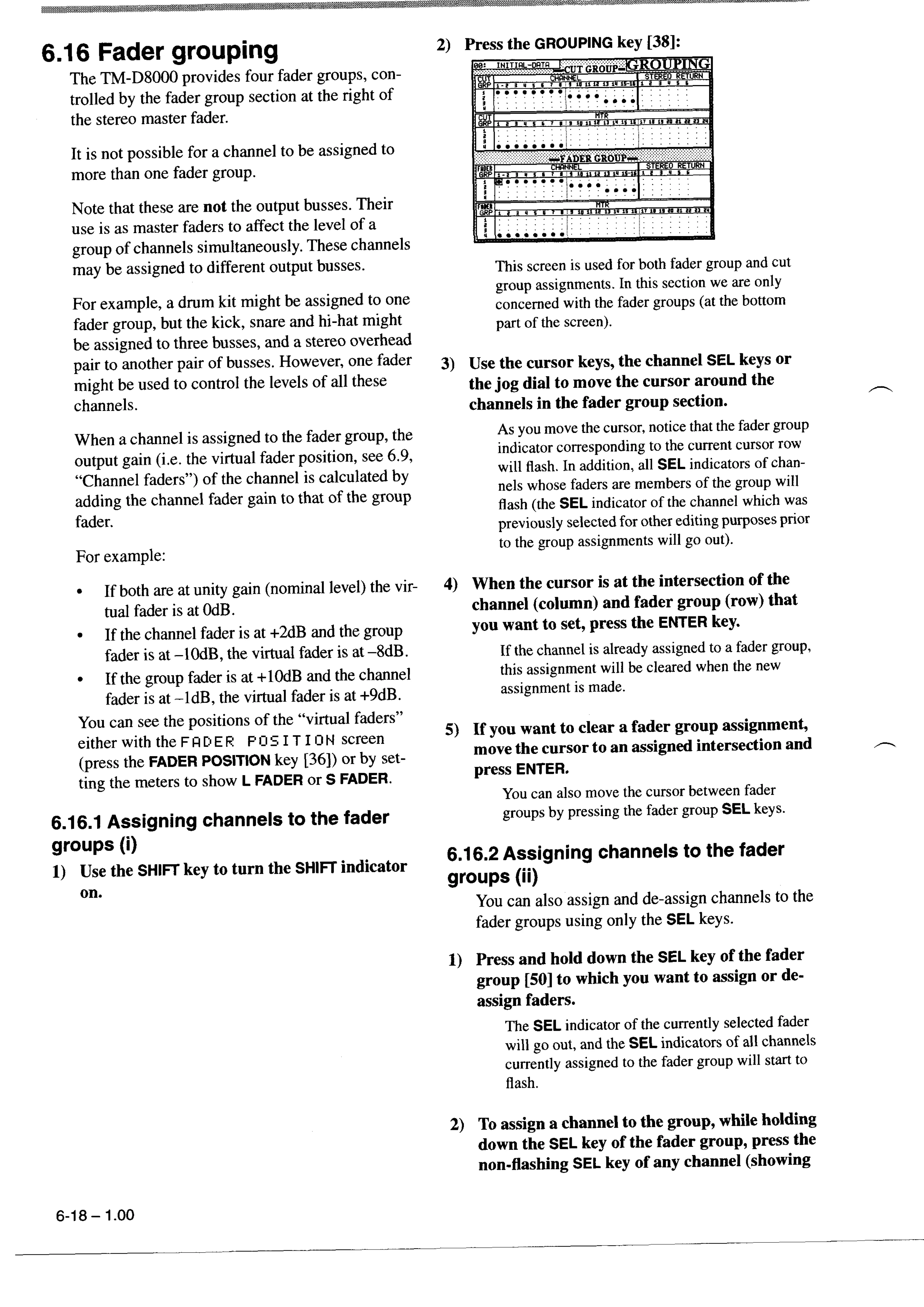
Tascam TM-D8000
91 pages
Print Icon
To Next Page IconTo Next Page
To Next Page IconTo Next Page
To Previous Page IconTo Previous Page
To Previous Page IconTo Previous Page
Loading...

Table of Contents

Other manuals for Tascam TM-D8000

Related product manuals