EasyManua.ls Logo

Technics ST-CH505 - Page 21

Technics ST-CH505
24 pages
Print Icon
To Next Page IconTo Next Page
To Next Page IconTo Next Page
To Previous Page IconTo Previous Page
To Previous Page IconTo Previous Page
Loading...
:
*
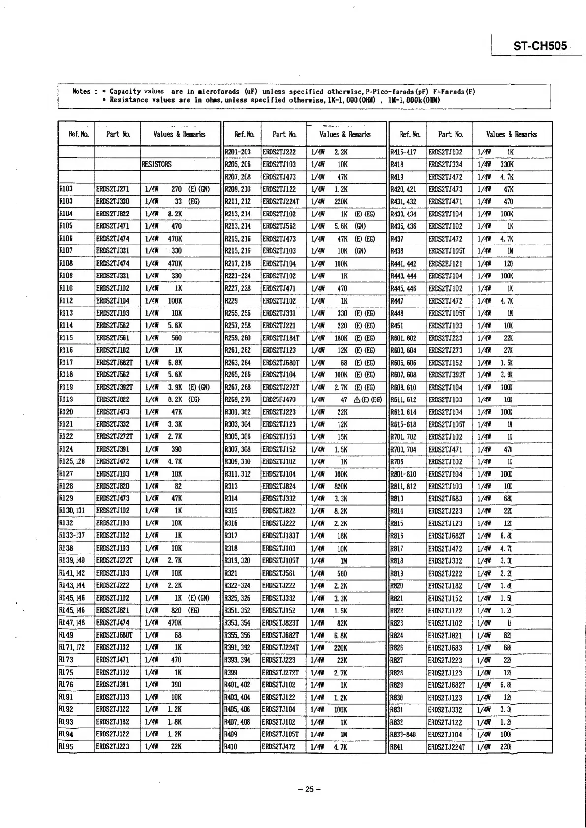
Capacity
values
are
in
microfarads
(uF)
unless
specified
otherwise,
P=Pico-farads
(pF)
F=Farads
(F)
*
Resistance
values
are
in
ohas,
unless
specified
otherwise,
1K=1,
000
(OHM)
,
1M=1,
000k
(OHM)
Notes
ST-CH505.
Part
No.
ee
ERDS2TJ271
1/4W
270
(E)
(GN)
275330
1/4¥
33
(EG)
27
J822
1/AW
8.2K
27471
1/4
=
470
27474
1/48
470K
273331
1/48
=:
330
208
9,
210
R211,
212
R213,
214
R213,
214
R215,
216
R215,
216
R217,
218
z
S
faz]
&
Beeace
=]
[wn
mee
[
ae
EET
is
208
emserios
[ver
1k
|
east
aw
1.2K
easetzae
|
asi
|
Va
1/4"
5.6K
(GN)
aseruns
|
ve
Eastii00—
ERDS2TJ104
1/48
47K
220K
1K
(E)
(EG)
1/48
47K
(E)
(EG)
10K
(GN)
100K
1/4
1/48
,
273474
|
1/48
=
470K
1/a¥
330
275331
RDS2TJ102
1/4¥
1K
2TJ104
=|
1/48
100K
S
1-224
am"
bt
ce
a
ERDS2TJ102
1/
7,228
jERDS2TJ471
ERDS2TJ102
l/
1K
1/#
470
1K
‘aN
‘an
jv
ik
CC
RL
ERDS2TJ562
R257,
258
|
ERDS2TJ221
esse
[van
io
———(ss
eset
[atk
8)
R261,
262
1/aW
12K
(E)
(ES)
RDS2TJ682T
R263,
264
aH
68
(E)
EG)
i
mie
[an
5K
rosea
[NK
OC)
mime
[ian
8k
mun
[ian
ak
nme
[ian
ak
nicer
[awe
—_—|
ni
[ian
R265,
266
R267,
268
R269,
270
R301,
302
303,
304
|E
305,
306
R307,
308
iurt
=
e
:
~
4
Ae
c=]
:
ERDS2TJ104
|
1/4¥
100K
(E)
(EG)
ERDS2TJ272T
ERD25FJ470
ERDS2TJ223
1/48
22K
1/4W
2.7K
(E)
(EG)
1/ah#
47,
ANE)
(EG)
ROS2TJ123
|
1/4W
12K
ERDS2TJ153
|
1/4
=
15K
ERDS2TJ152
|
1/4#
=
1.5K
R125,
126
_|ERDSZTJ472
R308,
310
|
ERDS2TJ102
2
ERDS2TJ103
|
1/4¥
10K
R311,
312
|ERDS2TJ104
a
a
ae
ee
ERDS2TJ473
R314
ERDS2TI332
1/4¥
47K
1/4¥
1K
zz
Rize
R125,
126
mize
zo
130,131
|
rise
memes
pasos
[rae
mae
——_emzrnoa
[uw
ok
‘iio
‘eros
[yen
isa
a
feasernne
[uw
(fait
esr
[vane
|
se
festa
|
rik
(ie
feserion
[ver
ik
|
rsa
ao
leases
[awk
(i
a
esernost
[vee
|
aa
leases
[i
tox
‘(ie
—_—_lemsisss
|
va
iat
feosercee
[in
2
ok
|
n-decane
|
ass
leases
[ink
CHO
|
2
emsornee
[vena
as
ns
fesse
[iw
eee)‘
32ers
|
va
mn
mznra
|
aro
————di.
64
ener
[yen
ek
A
ra
32
|
isz]
R171,
172
|ERDS2TJ102
73
ERDS2TJ471
R391,
392
R393,
394
z
1/44
1K
usin
[iwi
|
iis
[ia
30
ruses
[ae
ik
asrsizz
[aw
ie
ese
[1a
ak
|
usec
[ie
|
vases
[van
vax
m
aE
R401,
402
R403,
404
R405,
406
407,
408
409
E
R410
m
mm
R175
R176
R191
R194
~~
erase
ERDS2TJ224T
|
1/48
220K
ERDS2TJ223
1/48
22K
RDS2
rwret_
[ve
2m
|
wae
[ve
ik
we
[ve
ae
a
7
1/48
1K
1/48
1M
die
TJ1OST
ERDS2TJ472
1/48#
4.1K
—25-—-
Ref.
No.
Part
No.
Values
&
Remarks
rasa
emcee
ik
=|
refers
|
vik
pais
lemsense
ia
_—|
eco
atlases
[re
ak
_—_—|
ea
fensrnn
[va——|
a
x
lemseroa
|
ier
rank
|
os.
8
femsenea
|
ire
ik
rer
lemserser2
[ek
res
lemsenost
[ie
as
lenceria
[ie
ih
as.
lemon
|
vero
is
obese
[ve
44
ERDS2TJ472
|
1/484.
7K
448
ERDS2TJ105T
|
1/48
R451
ERDS2TJ
103
1/av
10K
R601,
602
|
ERDS2TJ223
1/4
22k
R603,
604
|ERDS2TJ273.
|
1/4¥
2K
R605,
606
jERDS2TJ152
|
1/4¥
=
1.
5k
R607,
608
jERDS2TJ392T
|
1/4¥
3.
9k
R609,
610
|ERDS2TJ104
|
1/4
10K
mina
nu
ail,
62
lemoensios
[ver
asa
sa
lemoersing
|
vet
ion
R615-618
jERDS2TJ105T
|
1/4¥
WW
R701,
702
|
ERDS2TJ102
1/48
i
mo
fesesars
[vee
os
femsenioa
[iver
ena
lemseroa
[ver
on
——_—|
pa,
a2
_feoserioa
[aver
R813
ERDS2TJ683
aia
esas
[ira
ais
lemsonza
[vee
RB16
ERDS2TJ682T
|
1/4¥
6.81
R817
ERDS2TJ472
|
1/4¥
4.71
R818
ERDS2TJ332_
|
1/48
3.31
RBIS
ERDS2TJ222
|
1/4
2.21
R820
ERDS2TJ182
|
1/48
1.8
Rezi.
=
ERDS2TJ152.
|
1/4"
1.51
pee
ERDS2TJ122
hai
ERDS27J102
users
[vee
Ea
act
emis
Tver
ex
u
82)
R
22i
seers
[vere
R
.
8
12
R
.3
2
827
828
re
—_iemcrisect
|
va
rao
emes
[vee
asi
emserieae
[iw
3
ranean
er
o-oo
eetinon
[vad
_10n
ent
fesersaat
|
2a

Related product manuals