EasyManua.ls Logo

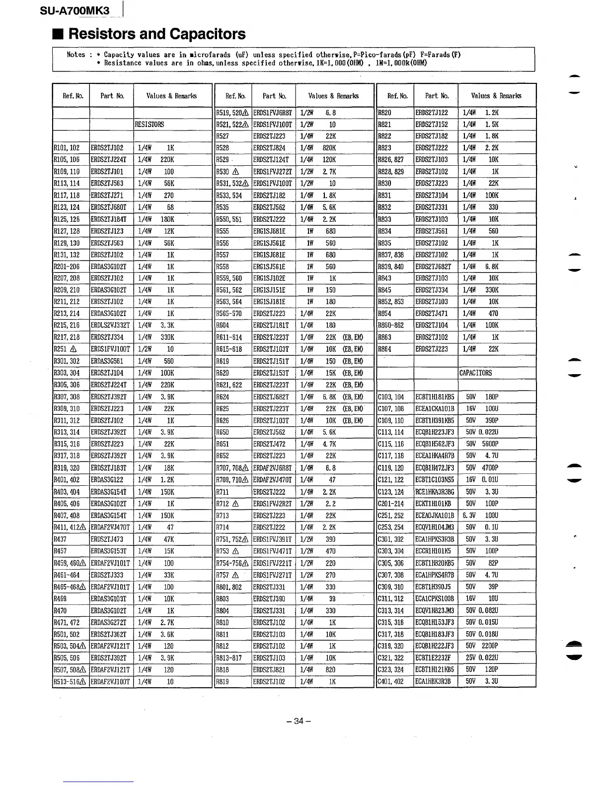
Technics SU-A700MK3 - Resistors and Capacitors Identification; Resistor Part Number and Value List; Capacitor Part Number and Value List

Technics SU-A700MK3
36 pages
Print Icon
To Next Page IconTo Next Page
To Next Page IconTo Next Page
To Previous Page IconTo Previous Page
To Previous Page IconTo Previous Page
Loading...

Related product manuals