EasyManua.ls Logo

Teletek electronics REPEATER - Page 24

Teletek electronics REPEATER
25 pages
Print Icon
To Next Page IconTo Next Page
To Next Page IconTo Next Page
To Previous Page IconTo Previous Page
To Previous Page IconTo Previous Page
Loading...
Repeater Installation and Programming Manual
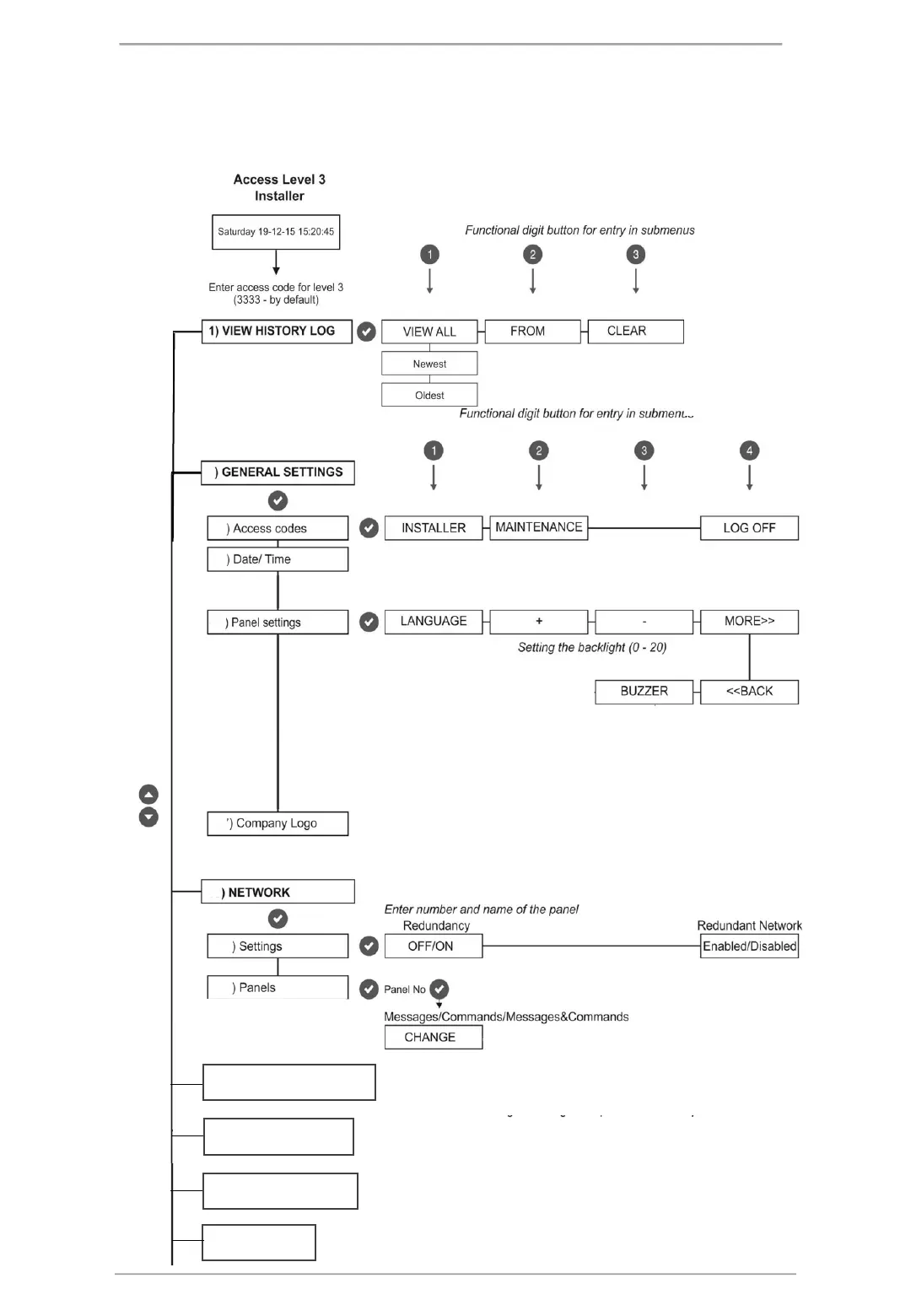
APPENDIX D
Tree structure of the programming menus.
The presented tree structure describes the full access to the programming menus from level 3 Installer.
From access level 2 Maintenance, some of the programming menus are not displayed or the operation
with them is partially limited see also the Table on page 14.
Disabling/enabling the indication
2.1
2
2.2
2.3
2.4
3
4) SAVE CONFIGURATION
5) RESTORE
DEAFULTS
6) SOFTWARE
VERSION
7) ACCESS
LEVEL
3.1
3.2
24

Related product manuals