EasyManua.ls Logo

Texas Instruments LM2734 - Typical Performance Characteristics

Texas Instruments LM2734
32 pages
Print Icon
To Next Page IconTo Next Page
To Next Page IconTo Next Page
To Previous Page IconTo Previous Page
To Previous Page IconTo Previous Page
Loading...
LM2734
www.ti.com
SNVS288I SEPTEMBER 2004REVISED APRIIL 2013
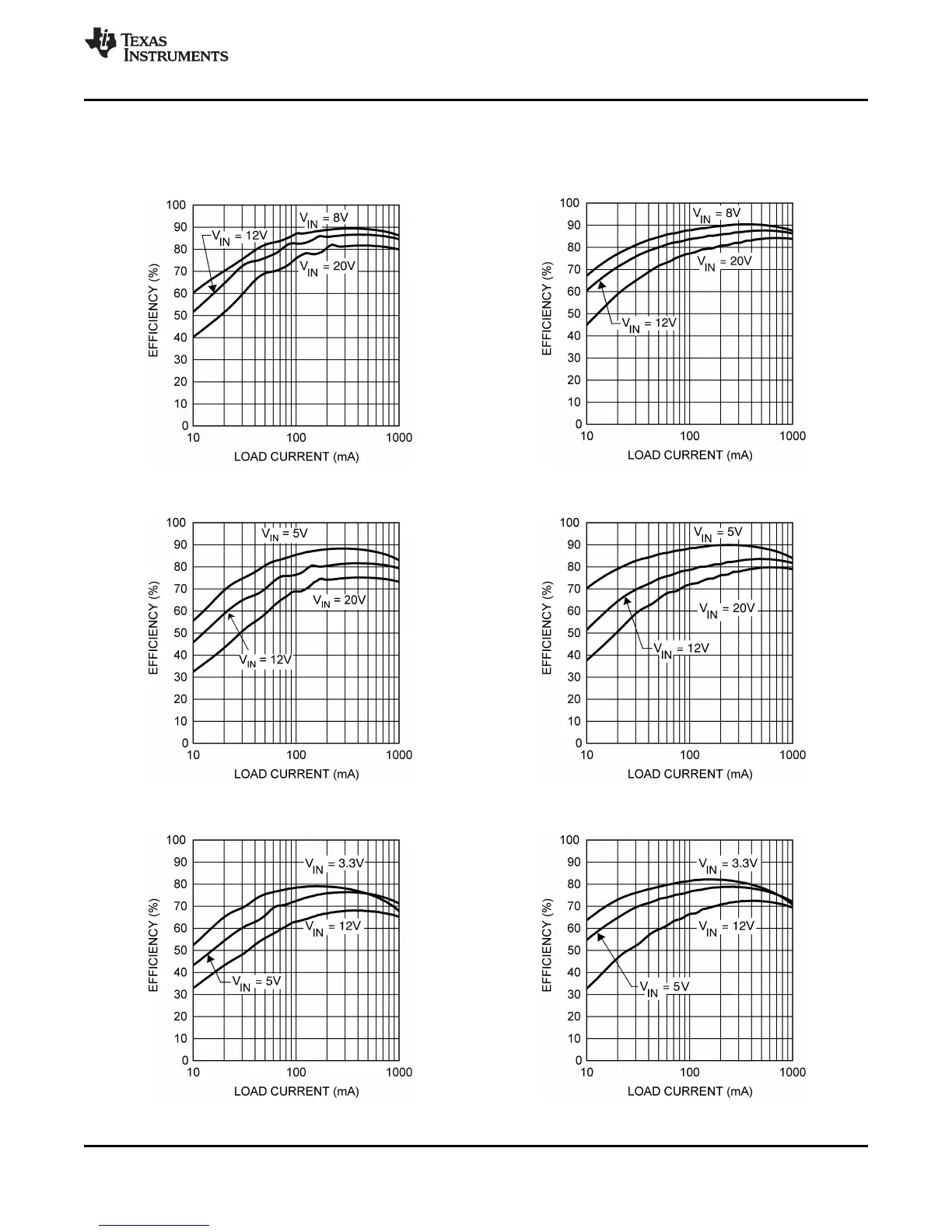
Typical Performance Characteristics
All curves taken at V
IN
= 5V, V
BOOST
- V
SW
= 5V, L1 = 4.7 µH ("X"), L1 = 10 µH ("Y"), and T
A
= 25°C, unless specified
otherwise.
Efficiency vs Load Current - "X" V
OUT
= 5V Efficiency vs Load Current - "Y" V
OUT
= 5V
Figure 5. Figure 6.
Efficiency vs Load Current - "X" V
OUT
= 3.3V Efficiency vs Load Current - "Y" V
OUT
= 3.3V
Figure 7. Figure 8.
Efficiency vs Load Current - "X" V
OUT
= 1.5V Efficiency vs Load Current - "Y" V
OUT
= 1.5V
Figure 9. Figure 10.
Copyright © 2004–2013, Texas Instruments Incorporated Submit Documentation Feedback 5
Product Folder Links: LM2734

Related product manuals