EasyManua.ls Logo

THERMO 2000 MINI ULTRA - Boost System Operation

THERMO 2000 MINI ULTRA
22 pages
Print Icon
To Next Page IconTo Next Page
To Next Page IconTo Next Page
To Previous Page IconTo Previous Page
To Previous Page IconTo Previous Page
Loading...
MINI ULTRA ELECTRIC BOILERS Installation and operating manual (Revision: May 2015)
16
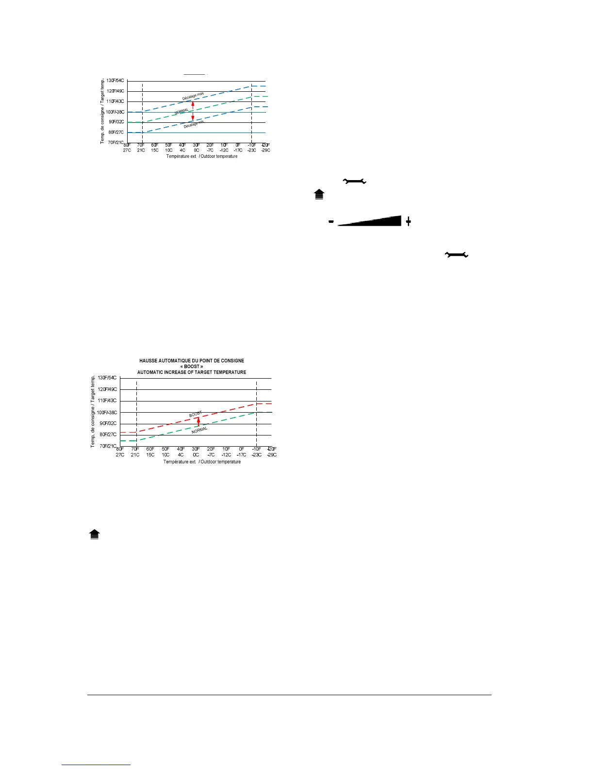
4.8.2 ’’Boost system operation’’
The controller incorporates a unique feature that
enables the target boiler temperature to
automatically be increased when the building
heat load increases but cannot be fulfilled with
the actual boiler target temperature and
consequently the room thermostat(s) cannot be
satisfied within a pre-determined period.
Example :
Return to normal heat load after low
demand periods occurring during sunny
days.
Long periods without heating which
needs higher boiler temperature to
recuperate.
Return to normal room temperature after
thermostat’s “nights set back” program.
The controller will engage the “Boost” program
when the heat demand on terminals W&R has
been maintained for a pre-determined period
according to the type of selected application.
Once this period has been reached, the “Boost”
icon will appear on the display and the boiler
target temperature will start increasing very
slowly over a pre-determined period and up to a
pre-calculated maximum value until the heat
demand applied on W&R terminals has been
completed.
On a new heat demand, the previous boost
period is forgotten and the boiler target gets
back to its original setting
If the system is in “boost” most of the time, this
means that the boiler target parameter
established during “Setting procedure” would be
too low for the heating system on which the unit
is applied. This boiler target could simply be
gradually increased by pressing the + button or
by re-setting the operating parameters using the
tool menus.
N.B. The boost program is a marvellous feature
that works fine on applications where the
number of room thermostats is in limited quantity
otherwise it may happen that during very cold
periods the heat demand from all the
thermostats may not become satisfied.
If your application needs the boost program to
be cancelled, you can do it by pressing the
button for 6 sec. and the display will show
icon and the two options ON or OFF will blink
and can be selected using
the button. The controller
will register the selected option and return to
normal operation if the buttons remains
untouched for 5 sec. or if the button is
pressed.

Related product manuals