EasyManua.ls Logo

Tomra AUTOSORT - 8.4.2 Local Start Up

Tomra AUTOSORT
84 pages
Print Icon
To Next Page IconTo Next Page
To Next Page IconTo Next Page
To Previous Page IconTo Previous Page
To Previous Page IconTo Previous Page
Loading...
User Manual
Operation
44 
8
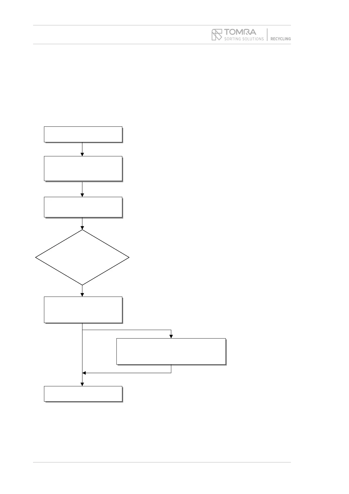
8.4.2 Local start up


 
  

  
Fig. 19: Local start up


Auto4 00 002_Blank-2014


















Table of Contents

Other manuals for Tomra AUTOSORT

Related product manuals