EasyManua.ls Logo

Trane RTAA-340 - Page 43

Trane RTAA-340
140 pages
Print Icon
To Next Page IconTo Next Page
To Next Page IconTo Next Page
To Previous Page IconTo Previous Page
To Previous Page IconTo Previous Page
Loading...
43
RTAA-IOM-3
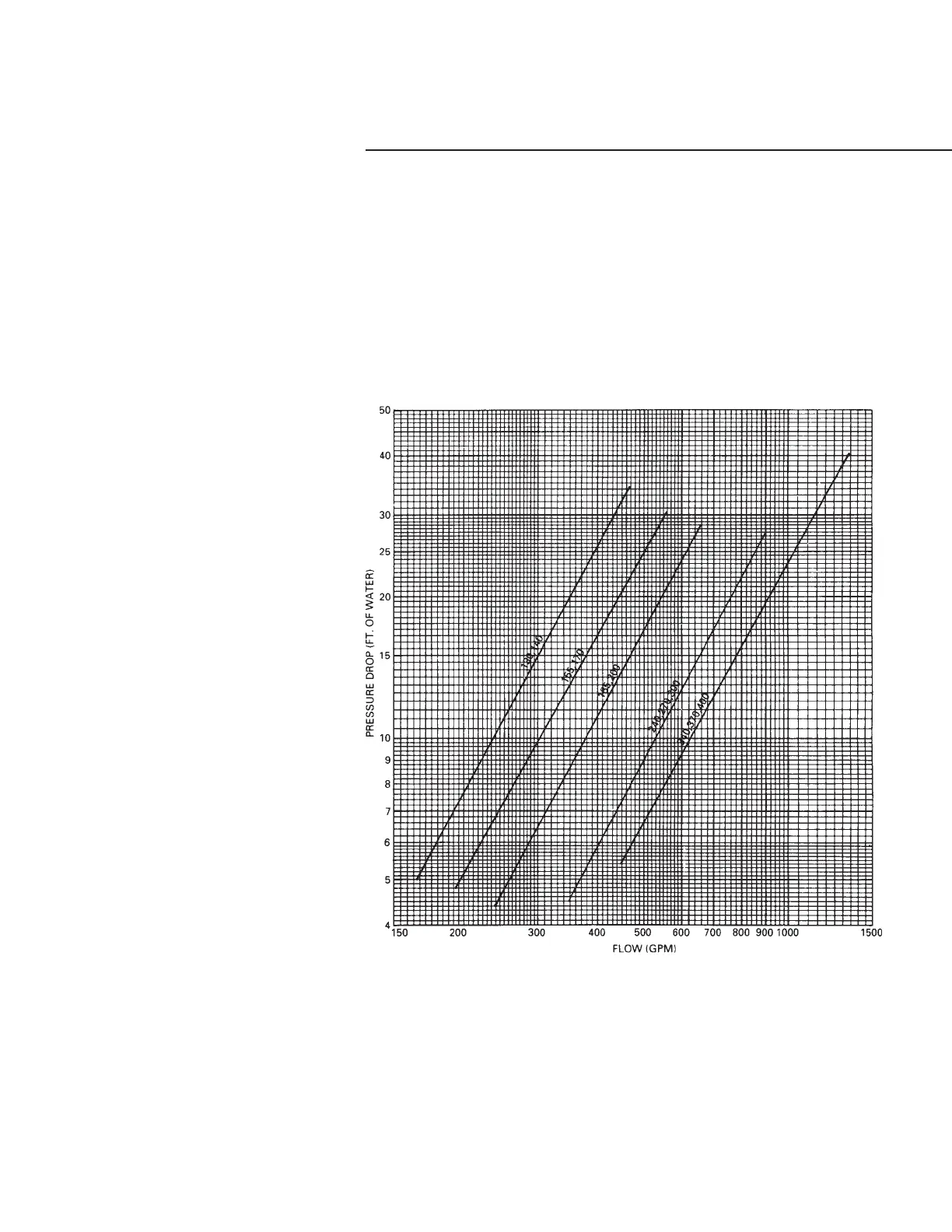
3. Adjust the switch to open when
water flow falls below nominal.
Evaporator data is shown in Figure
23. Refer to Table 1 for minimum
flow recommendations. Flow switch
contacts are closed on proof of water
flow.
4. Install a pipe strainer in the entering
evaporator water line to protect
components from waterborne
debris.
Figure 23
RTAA 130 thru 400
Evaporator Water Pressure Drop

Table of Contents

Related product manuals