EasyManua.ls Logo

TTI QPX600D - Specification

Default Icon
38 pages
Print Icon
To Next Page IconTo Next Page
To Next Page IconTo Next Page
To Previous Page IconTo Previous Page
To Previous Page IconTo Previous Page
Loading...
2
Specification
General specifications apply for the temperature range C to 40°C. Accuracy specifications
apply for the temperature range 18°C to 28°C after 1 hour warm-up with no load and calibration at
23°C. Typical specifications are determined by design and are not guaranteed.
OUTPUT SPECIFICATIONS (Each Output)
Voltage Range: Two ranges: 0V to 60V or 0V to 80V
Current Range: 0.01A to 50A
Power Range: Up to 600W
Voltage Setting: Resolution: 1mV (60V Range),
2mV (80V Range)
Accuracy: 0.1% of setting ± 2mV,
(± 4mV on 80V range)
Current Setting: Resolution 10mA
Accuracy: 0.3% of setting ± 20mA
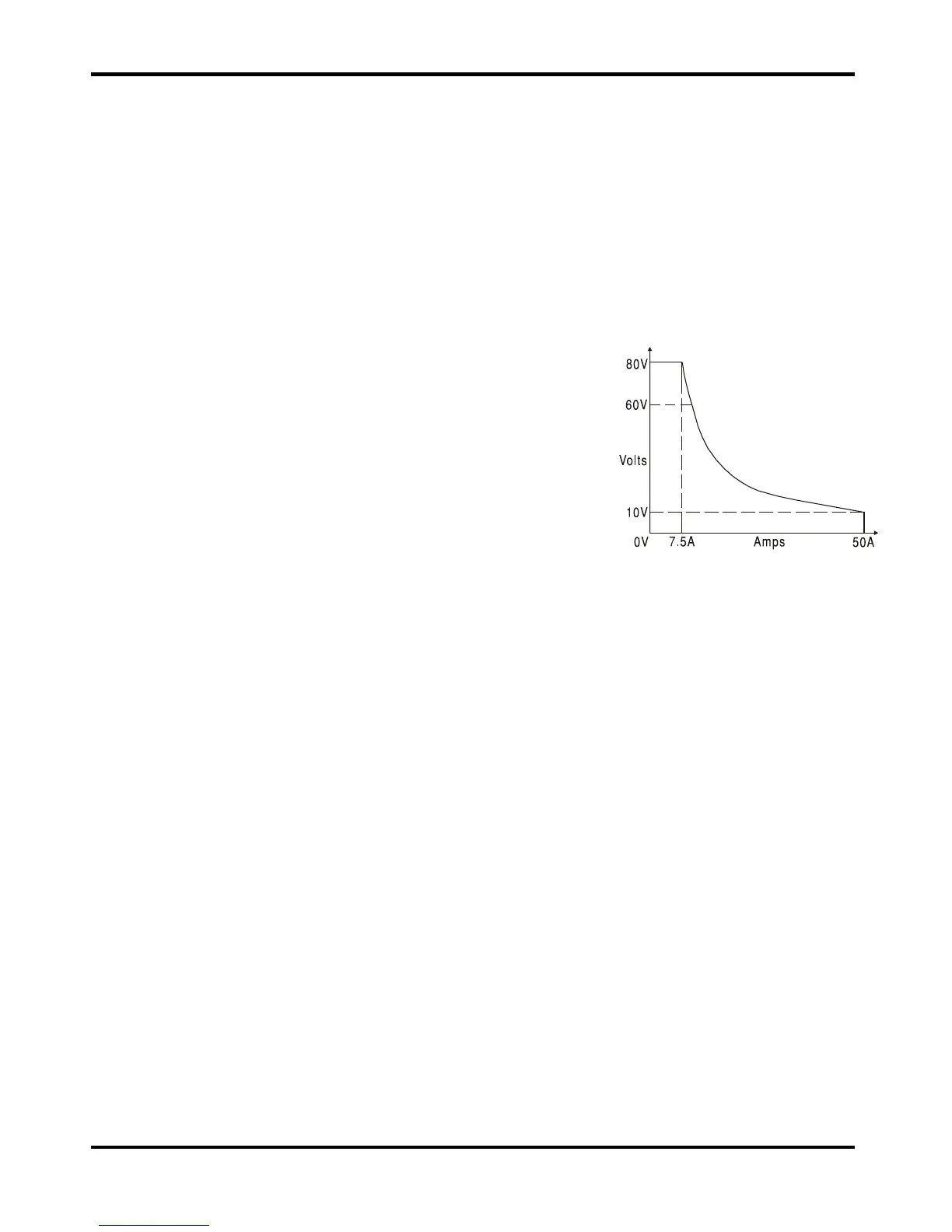
Operating Mode: Constant voltage or constant current
with automatic cross-over provided
that the power demanded stays within
the power envelope, see graph.
Outside of this envelope the output
becomes unregulated. CV, CI or
UNREG mode indication in display.
Output Switch: Independent electronic switching, with ON indication. In addition, BOTH ON
and BOTH OFF keys permit both outputs to be switched on/off
synchronously (±10µs). Preset voltage and current displayed when off.
Output Terminals: Rear panel safety terminals accepting 6mm wire diameter, 6mm plugs or
8mm spades at 50 Amps max, or 4mm plugs at 30 Amps max.
Sensing: Switchable between local and remote. Screwless remote sense terminals on
rear panel. Sense miswiring trip and indication.
Ripple & Noise
(20MHz bandwidth):
Typically <3mVrms, <20mV pk-pk at maximum load, CV mode
Load Regulation: Change in output for any load change within PowerFlex envelope, using
remote sense:
Constant voltage: <0.01% ± 5mV
Line Regulation: Change in output for a 10% line change:
Constant voltage: <0.01% ± 5mV
Transient Response: <2ms to within 100mV of set level for a 5% to 95% load change.
Output Protection: Output will withstand an applied forward voltage of up to 90V.
Reverse protection by diode clamp for reverse currents up to 3A.
Over-voltage Protection
(OVP):
Range 2V to 90V. Resolution 0.1V; accuracy: 0.2% ± 0.2V.
Response time typically 100µs.
Over-current Protection
(OCP):
Range 2A to 55A. Resolution 0.1A; accuracy: 0.5% ± 0.2A.
Response time typically 100ms.
Over-temperature
Protection:
The output will be tripped off if a fault causes the internal temperature to rise
excessively.
Temperature Coefficient: Typically <100ppm/°C
QPX600D & DP
Power Envelope
(per channel)

Related product manuals