EasyManua.ls Logo

Tunturi E4 - Page 16

Tunturi E4
75 pages
Print Icon
To Next Page IconTo Next Page
To Next Page IconTo Next Page
To Previous Page IconTo Previous Page
To Previous Page IconTo Previous Page
Loading...
17
D
BETRIEBSANLEITUNG
E4
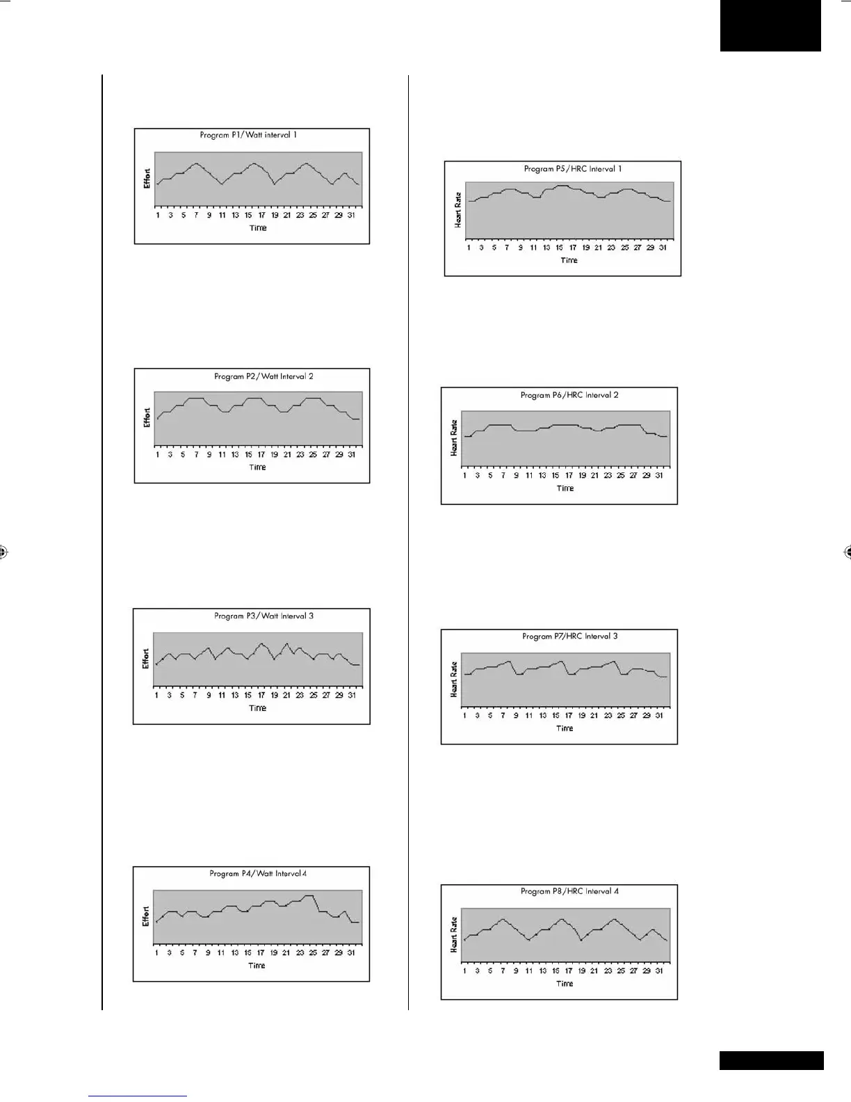
eignet sich dieses Profil auch für Anfänger. Mit
Standardwerten, die Durchschnittsleistung beträgt
121 W und die Höchstleistung 182 W.
PROFIL P2. Profil mit drei Leistungsspitzen zur
Verbesserung der Sauerstoffaufnahmefähigkeit
Da die Leistungtsspitzen relativ lang andauern,
eignet sich dieses Profil vor allem für Leute
mit guter Kondition. Mit Standardwerten, die
Durchschnittsleistung beträgt 122 W und die
Höchstleistung 154 W.
PROFIL P3.
Profil mit mehreren Leistungsspitzen
zur Verbesserung der Kräftemobilisation. Wegen
des unregelmä(igen Wechsels der Leistungsniveaus
und der relativ kurzen Leistungsspitzen eignet
sich dieses Profil für alle. Mit Standardwerten,
die Durchschnittsleistung beträgt 120 W und die
Höchstleistung 182 W.
PROFIL P4. ”Bergauf”-Leistungsprofil zur
Verbesserung der Ausdauer. Die relativ lang
dauernden Leistungsspitzen werden bis zum
Schluss des Profils immer höher. Dieses
Profil eignet sich vor allem für Leute mit
guter Kondition. Mit Standardwerten, die
Durchschnittsleistung beträgt 133 W und die
Höchstleistung 210 W.
PROFIL P5. Pulsprofil mit drei Leistungsspitzen zur
Verbesserung der Sauerstoffaufnahmefähigkeit.
Die Leistungsspitzen dauern relativ lang, ein Profil
auch für Anfänger. Mit Standardwerten, die
durchschnittliche Herzfrequenz beträgt 119 und
die Höchsfrequenz 136.
PROFIL P6. ”Bergauf”-Pulsprofil, bei welchem der
Puls bis zur Mitte des Profils gleichmä(ig gesteigert
wird um danach wieder gleichmä(ig abzufallen. Ein
Profil auch für Anfänger. Mit Standardwerten, die
durchschnittliche Herzfrequenz beträgt 126 und
die Höchsfrequenz 157.
PROFIL P7. Pulsprofil mit drei Leistungsspitzen zur
Verbesserung der Ausdauer. Die Leistungsspitzen
dauern relativ lang, aber das Pulsniveau bleibt
das ganze Profil hindurch ziemlich gleichmä(ig.
Ein Profil für alle. Mit Standardwerten, die
durchschnittliche Herzfrequenz beträgt 131 und
die Höchsfrequenz 155.
PROFIL P8. Pulsprofil mit drei Leistungsspitzen zur
Verbesserung der Sauerstoffaufnahmefähigkeit. Auf
ziemlich lang dauernde Leistungsspitzen folgt eine
gleichmä(ige Ausgleichsphase. Dieses Profil eignet
sich vor allem für Leute mit guter Kondition.
Mit Standardwerten, die durchschnittliche
Herzfrequenz beträgt 137 und die Höchsfrequenz
170.
E4_manual_vr2 17 2.10.2003, 12:49:18

Table of Contents

Related product manuals