EasyManua.ls Logo

Tunturi E4 - Programs (Profils Preprogrammes)

Tunturi E4
75 pages
Print Icon
To Next Page IconTo Next Page
To Next Page IconTo Next Page
To Previous Page IconTo Previous Page
To Previous Page IconTo Previous Page
Loading...
26
MODE D'EMPLOI
E4
votre condition physique. Le programme WATT
CONTROL
vous permet de vous entraîner tout en
maintenant la puissance
(en WATTS) à un niveau
constant.
1. Pour choisir ce programme, appuyer sur la
touche
WATT CONTROL après la mise en marche
de l’unité des compteurs ou l’appui sur la touche
RESET.
2. L’affi chage puissance (EFFORT) se met à
clignoter. Choisissez la puissance désirée (20-400
W par crans de 5 W, valeur par défault: 100 W) en
utilisant les touches fl échées. Confi rmez la
valeur en appuyant sur
ENTER.
3. L’affi chage TIME se met à clignoter. Choisissez
la durée de l’entraînement (10 à 90 min par crans
de 5 minutes) en utilisant les touches fl échées.
Confi rmez en appuyant sur la touche
ENTER.
4. Entrez votre poids en kilogrammes (valeur
par défaut: 70
KG). Confi rmez le poids entré en
appuyant sur
ENTER.
5. La résistance peut être augmentée ou diminuée
(valeur par défaut: 100 %) en utilisant les touches
échées. Les colonnes à l’affi chage indiquent la
résistance choisie.
6. Commencez l’exercice.
PROGRAMS (PROFILS PREPROGRAMMES)
L’entraînement offerte par la fonction PROGRAMS
repose sur des séances indépendantes et
individuelles d’exercice, les profils. La touche de
commande
PROGRAMS vous permet d’utiliser ou
de modi. er un profil d’exercice préprogrammé,
faisant varier le niveau de résistance d’une façon
déterminée par avance. Les profils préprogrammés
sont conçus pour varier et apporter de l’intérêt
à votre entraînement : vous pouvez sélectionner
n’importe quel profil à la base de votre
entraînement puis régler le niveau du profil à l’aide
des touches flèches avant le début ou pendant
l’entraînement de sorte que le niveau d’effort est
adapté à votre condition physique.
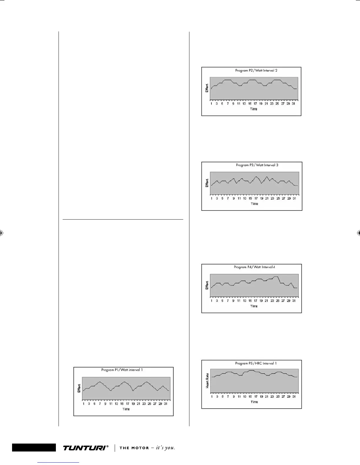
PROFIL P1. Profil d’effort à trois pics pour améliorer
la capacité d’absorption d’oxygène. Les pics sont
relativement courts, ce profil convient également
aux débutants. Avec les valeurs par défaut, la
puissance moyenne est 121 watts, la puissance
maximale est 182 watts.
PROFIL P2. Profil d’effort à trois pics pour améliorer
la capacité d’absorption d’oxygène. Les pics sont
relativement longs, ce profil convient de préférence
aux personnes en bonne condition physique. Avec
les valeurs par défaut, la puissance moyenne est
122 watts, la puissance maximale est 154 watts.
PROFIL P3. Profil d’effort à pics multiples pour
améliorer la puissance de vitesse. Les changements
de niveau d’effort sont aléatoires et les pics
relativement courts, ce profil convient à tous. Avec
les valeurs par défaut, la puissance moyenne est
120 watts, la puissance maximale est 182 watts.
PROFIL P4. Profil d’effort en côte pour améliorer
la résistance. Les pics relativement longs sont de
plus en plus hauts jusqu’à la fin. Ce profil convient
particulièrement aux personnes en bonne condition
physique. Avec les valeurs par défaut, la puissance
moyenne est 133 watts, la puissance maximale est
210 watts.
PROFIL P5. Profil cardiaque à trois pics pour
améliorer la capacité d’absorption d’oxygène. Les
pics sont relativement longs, ce profil convient
également aux débutants. Avec les valeurs par
défaut, la pouls moyenne est 119, la pouls
maximale est 136.
PROFIL P6. Profil cardiaque de côte dans lequel le
rythme cardiaque augmente régulièrement jusqu’à
E4_manual_vr2 26 2.10.2003, 12:49:23

Table of Contents

Related product manuals