EasyManua.ls Logo

USFilter DEPOLOX 3 PLUS - Page 61

Default Icon
112 pages
Print Icon
To Next Page IconTo Next Page
To Next Page IconTo Next Page
To Previous Page IconTo Previous Page
To Previous Page IconTo Previous Page
Loading...
IM 50.560CA UA (B/4-03) 51
DEPOLOX
®
3 PLUS RESIDUAL ANALYZER
About 33 l/hr of the water to be analyzed flows past this system of elec-
trodes. The current generated in the measuring cell is directly propor-
tional to the concentration of the oxidizing agent in the sample water. This
current is then passed to the microprocessor-based electronic system
DEPOLOX 3 plus for processing. A flow switch gives a signal to the
DEPOLOX 3 plus if the flow is reduced (optional).
The surfaces of the electrodes are continuously cleaned by a special kind
of cleaning grit in the electrode cell. The transparent plexiglass body of
the cell makes it possible to observe the circulation of the grit in the cell.
If a double input electronics is used, a pH-value measurement will be
inserted into the hole in the removable cover of the measuring cell. With
the pH valve, used in conjunction with the chlorine measurement, it is
possible to correct for variations caused by shifting pH.
The following features ensure accurate, repeatable measured data and
reduce the frequency of zero point recalibration:
potentiostatic control
continuous hydromechanical electrode cleaning system
regulated sample water flow.
0%
20%
40%
60%
80%
100%
120%
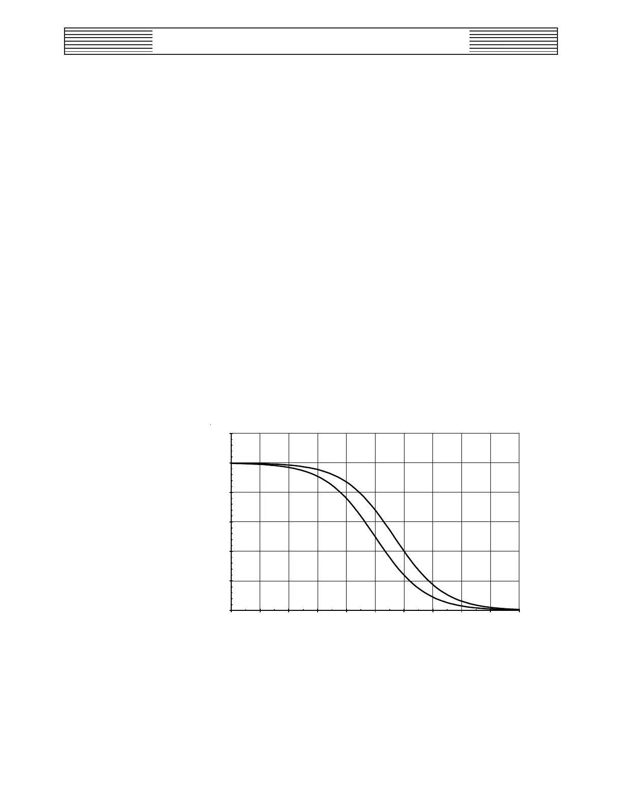
5 5.5 6 6.5 7 7.5 8 8.5 9 9.5 10
0°C
30°C
OCl
-
HOCl
pH
HOCl
Figure 3.6 - Dissociation characteristics of HOCl and ClO-
with pH value and showing effects of temperature