EasyManua.ls Logo

VEVOR CL-280 - Product Structure Diagram

VEVOR CL-280
20 pages
Print Icon
To Next Page IconTo Next Page
To Next Page IconTo Next Page
To Previous Page IconTo Previous Page
To Previous Page IconTo Previous Page
Loading...
- 6 -
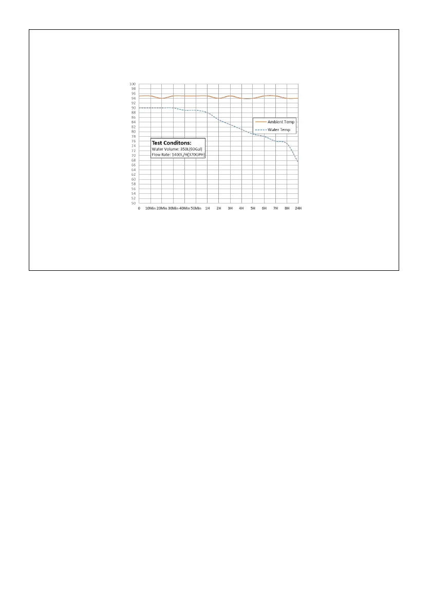
CL-600
Work time
(Min=Minute, H=Hour)
Temperature
NOTES:
1.Refrigerating effect will be impacted by ambient temperature, water circulation flow rate,
installation position, lighting system, surrounding heat sources, room ventilation,
aquarium/reservoir structure, etc. To get the best use of this machine, please strictly follow
this instruction manual.
2.Recommended water volume is closely related to the ambient temperature and the
required water temperature. When ambient temperature is high (and a low water
temperature is required) the water volume should be REDUCED to achieve best
performance.
PRODUCT STRUCTURE DIAGRAM

Related product manuals